1/35
Looks like no tags are added yet.
Name | Mastery | Learn | Test | Matching | Spaced | Call with Kai |
|---|
No study sessions yet.
What are the two main types of cells?
Prokaryotic and Eukaryotic cells.
What are some features of prokaryotic cells
Cell wall, Circular chromosomes
in nucleoid, cannot have organelles
What is the size range of prokaryotic cells?
1-10 micrometers.
what are some features of eukaryotic cells?
Linear chromosomes in the nucleus, Internal membrane-bound Structures like organelles
What is the size range of eukaryotic cells?
10-100 micrometers.
What are some shared features between eukaryotic and prokaryotic cells
Plasma membrane, Genetic information
encoded by DNA, Cytosol, Ribosomes for protein synthesis
What is an organelle?
A membrane-bound structure with a specific function within a cell.
What is the function of chloroplasts?
Photosynthesis in plant cells.
What is a karyotype?
A picture of an organism's chromosomes.
How is sex determined in humans based on karyotypes?
XX indicates female, XY indicates male.
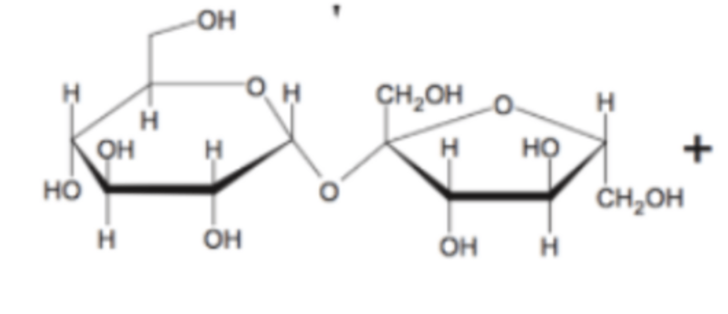
What do carbohydrates do?
Quick energy source.
What do proteins do?
Building block for structures like muscle and organas, enzymes, and communication
What is the process of cellular respiration?
Breaking down glucose to create ATP.
What occurs during glycolysis?
Glucose is broken in half, yielding 2 ATP.
What is the role of ribosomes?
Used for protein synthesis.
What is the structure of DNA?
A double helix made of nucleotides.
What is a nucleotide composed of?
A phosphate group, deoxyribose sugar, and a nitrogenous base.
What is the significance of hydrolysis in metabolism?
It breaks down complex molecules into simpler ones by adding water.
What are the products of carbohydrate hydrolysis?
Glucose and fructose.
What happens during protein hydrolysis?
Dipeptides are broken down into individual amino acids.
What do lipids do?
Store energy, communication, building block for cell membranes, and insulation
What is the result of lipid hydrolysis?
Monoglycerides and fatty acids.
What is cell differentiation?
Process where cells become specialized for specific functions.
What determines the unique function of a differentiated cell?
Specific genes being turned on or off to give the cell a job.
What is the Locus?
Location of a gene on a chromosome
What are chromosomes?
Tightly coiled DNA and proteins
What are genes?
Segments of DNA that code for a specific trait
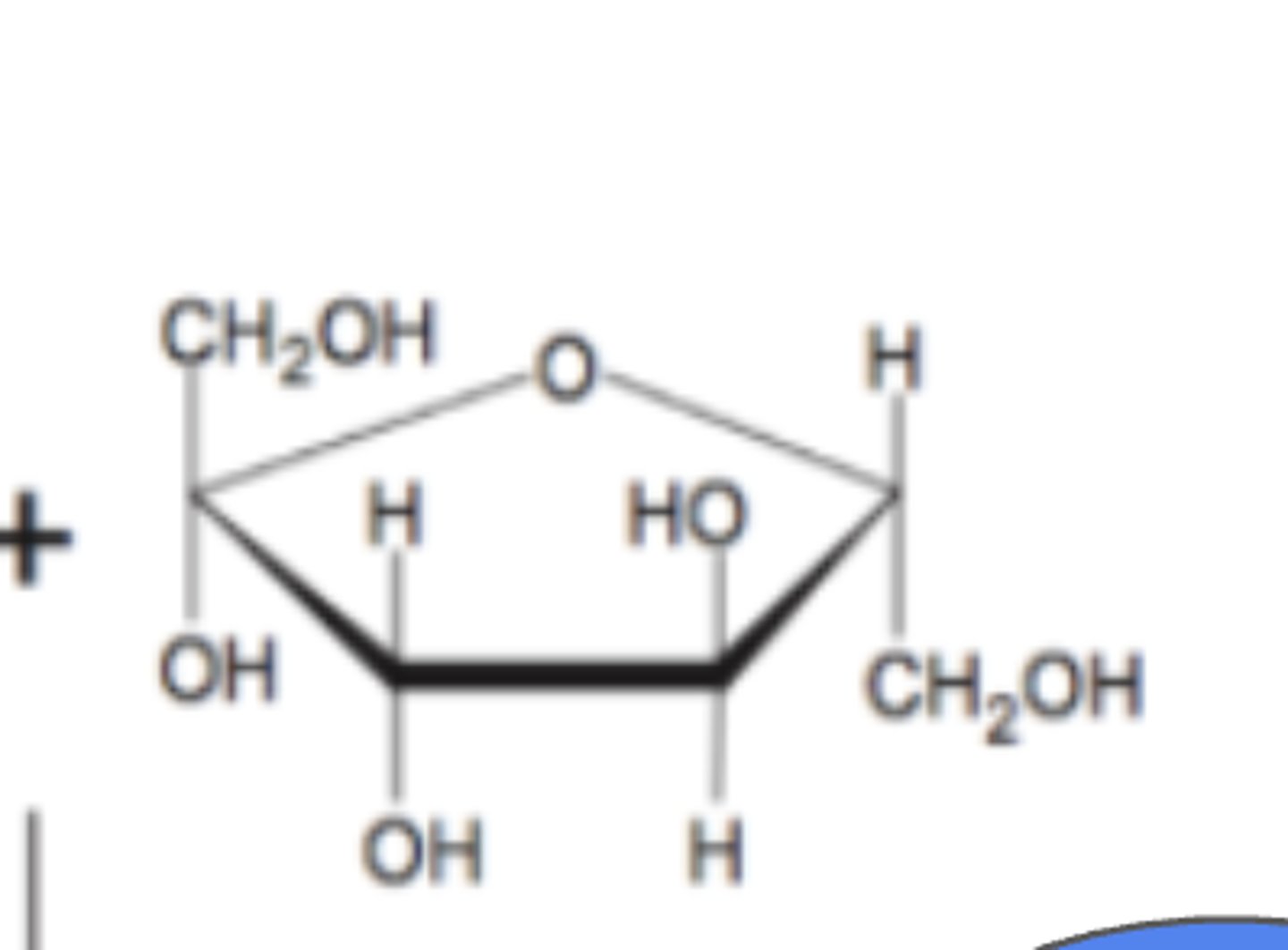
What do Carbohydrates look like

What do Lipids look like?

What do Proteins look like?

Sucrose

Glucose

Fructose

Dipeptide

Catabolism
This is digestion, where large molecules are broken down into smaller pieces, releasing energy (like breaking those C-C bonds).
Anabolism
This is the rebuilding phase, where the body uses small molecules to create structures in the body