1/58
Flashcards de vocabulaire sur la physiologie, abordant les termes et concepts clés du cours.
Name | Mastery | Learn | Test | Matching | Spaced | Call with Kai |
|---|
No analytics yet
Send a link to your students to track their progress
Physiologie
Étude du fonctionnement des différentes structures des parties du corps.
Cytologie
Étude de la cellule, la plus petite unité de vie.
Histologie
Étude des tissus, des groupes de cellules similaires.
Cellules
Plus petite unité de vie mais la plus fondamentale
Reproduction communes à tous les être vivants
Utilise le matériel héréditaire l’ADN, l’être vivant produit des êtres qui lui ressemblent.
Métabolisme
Captent de l’énergie dans leur environnement : consommation de l’énergie et transformation pour accomplir plusieurs sortes de fonctions.
Mitochondrie
Organite de la cellule, central pour la production d'ATP.
Haut niveau d’organisation
Les organismes vivants sont des êtres complexes et fonctionnels constitués de nombreux éléments essentiels qui s’organisent de façon très particulière.
Évolution
Possibilité d’évoluer par suite du mécanisme des mutations et de la sélection naturelle
Homéostasie
État d'équilibre physiologique des systèmes biologiques.
Cellule Eucaryotes
Unité fondamentale et indispensable du vivant
2μm à plus d’un mètre!
3 sous régions:
La membrane plasmique
Le cytoplasme
Le noyau
En dehors:
Le liquide extracellulaire (Liquide interstitiel)
La matrice extracellulaire (Secrétions exocrines = Gel polysaccharides)
+ 250 types de cellule dans le corps humain de dimensions et formes variées

Phospholipides
Composés lipidiques formant la bicouche de la membrane plasmique.

La fluidité de la membrane plasmique dépend
De sa composition chimique (Concentration en Acide gras saturés ou non, en cholestérol) et des conditions environnementales (T°C/P)

Protéines
Incorporées dans la paroi ont la capacité de changer de forme si elles sont sujettes à une stimulation électrique ou chimique.
Celles qui laissent passer des ions s’appellent des canaux ioniques, permettent une perméabilité sélective de la membrane.
3 mécanismes
Diffusion simple
Diffusion facilitée : par transporteur par canaux
Osmose (aquaporine)

Diffusion simple
Molécules liposolubles directement à travers la bicouche de phospholipides
Mouvement de gaz (O2, CO2) et lipides à travers la bicouches lipidique membranaire.

Diffusion facilitée par transporteurs
Au moyen de transporteurs protéiques spécifiques à des substances chimiques ; La liaison des substrats cause un changement dans la forme des transporteurs protéiques. Exemple : Entrée de glucose

Diffusion facilitée par canaux protéiques
Pour le transport de certains Ions choisis selon leur taille et leur charge électrique
Exemple : Entrée d’ions NA+, K+, Ca2+ ou sortie d’ions Cl-.
Ce mode de diffusion facilité peut-être soit passif, soit actif.
Un mécanisme actif nécessite l’apport d'énergie (ATP)
Ce mode de diffusion facilité peut-être soit passif, soit actif.
Un mécanisme actif nécessite l’apport d'énergie (ATP)

Diffusion passive
Elle est dite simple. La différence de concentration d’un soluté de part et d’autre de la membrane permet les échanges via la protéine transmembranaire, en respectant le gradient de concentration.
Diffusion Active
Grâce à l’apport énergétique, les solutés peuvent être échangé de part et d’autre de la membrane via la protéine transmembranaire, souvent à l’encontre du gradient de concentration, (malgré une concentration déjà grande du soluté).
Osmose
Diffusion d’un solvant, comme de l’eau, à travers un canal protéique donné (l’aquaporine) ou à travers la bicouche lipidique.
Entrée d’H2O et autres liquides.

Membrane perméable tant au soluté qu’à l’eau

Membrane perméable à l’eau et imperméable au soluté

Solution Isotoniques
Les cellules gardent leur taille et leur forme normales dans une solution isotonique (même concentration de soluté non diffusible qu’à l’intérieur des cellules ; L’eau entre dans les cellules et en sort).

Solution Hypertoniques
Les cellules perdent de l’eau et rétrécissent (deviennent crénelées) dans une solution hypertonique (concentration de soluté non diffusible supérieure à celle présente dans les cellules).

Solution Hypotoniques
Les cellules absorbent de l’eau par osmose, enflent et risquent d’éclater (lyse) dans une solution hypotonique (concentration de soluté non diffusible inférieure à celle présente dans les cellules).


Glucides
Macromolécules impliquées dans la reconnaissance cellulaire et l'immunité.

Lipides

Fonctions de la membrane plasmique : Barrière physique
Sépare le cytoplasme du liquide extracellulaire
Fonctions de la membrane plasmique : Perméabilité sélective
Détermine quelles substances entrent et sortent
Fonctions de la membrane plasmique : Communication
Les protéines membranaires réagissent avec des messagers chimiques spécifiques et relaient les messages à l’intérieur de la cellule
Fonctions de la membrane plasmique : Reconnaissance cellulaire
Les glucides situés à la surface constituent des marqueurs spécifiques
Cytoplasme
Substance gélatineuse dans laquelle baignent les organites cellulaires.
3 principaux éléments :
Cytosol,
Inclusions et
Organites

Le Cytosol
Liquide visqueux et translucide dans lequel baignent les autres éléments du cytoplasme. en grande partie composé :
D’eau mais contient également
Les protéines,
Des sels et
Des glucides.
Phase liquide emprisonnée par la membrane cellulaire dans laquelle baignent les organites cytoplasmiques.
85 % d’eau dont seulement 1/3 libre
Petites molécules :
Ions inorganiques ( beaucoup de K+, très peu de Na+ et de
Cations divalents ( Mg2+, Ca2+ )
Gaz dissous ( CO2, O2, etc.)
Molécules de taille moyenne :
Glucides,
Lipides,
Acides Aminés,
Nucléotides et
Métabolites divers.
Macromolécules hydrosolubles :
Protéines,
Polysaccharides,
Glycoprotéines,
Acides Nucléiques Solubles,
etc.
Fonction du Cytosol
Site de production d'énergie : Glycolyse
Réserve de macromolécules :
Régulation des pH intra et extracellulaire grâce à la grande quantité d'eau et d'ions.
Réserve énergétiques grâce aux vacuoles lipidiques et glycogéniques.
Réserve de matériaux nécessaires à la construction des édifices macromoléculaires.
Activation de certaines molécules par phosphorylation.
Transit de molécules protéiques et macromolécules.
Carrefour de voies métaboliques :
Anabolisme et le catabolisme des :
Glucides,
Acides Aminés,
Acides Gras et
Nucléotides.
Transduction du signal :
Transmet des signaux à partir de la membrane plasmique vers les organites et le noyau.
Différence entre le Cytosol et le Cytoplasme
Le cytoplasme est un liquide semi-solide transparent qui se trouve à la fois dans les cellules procaryotes et eucaryotes.
Le cytosol est la partie liquide du cytoplasme et 70% de la cellule est constituée de cytosol. Par conséquent, la diversité des composants du cytoplasme est supérieure à celle du cytosol.. Le cytosol comprend des molécules organiques, des filaments de cytosquelette, du sel et de l’eau..
La plupart des activités cellulaires se produisent au niveau du cytoplasme, notamment la division cellulaire, la croissance et l'expansion cellulaires, la glycolyse et de nombreuses réactions biochimiques.. Les activités qui se produisent au niveau des organites sont également considérées comme des fonctions cytoplasmiques. Certains d'entre eux sont la synthèse de protéines au ribosome, la respiration cellulaire aux mitochondries, etc.
La plupart des réactions métaboliques des cellules procaryotes ont lieu au cytosol. Dans les cellules eucaryotes, la plupart des réactions métaboliques ont lieu au cytoplasme.
Mitochondrie
Organes réniformes produisant la majeure partie de l’ATP de la cellule.
Entourée de 2 membranes ayant la même structure générale que la membrane plasmique. La membrane intérieure se replie sur elle-même pour former des crêtes.
Central énergétique : La mitochondrie est le siège de la respiration cellulaire; une réaction redox visant à dégrader le glucose afin de produire de l’énergie.

Ribosomes
Petites protéines constituées d’ARN ribosomique (acide ribonucléique).
Constitués de 2 sous-unités qui prennent l’ARN messager emboîtées lors de la traduction (assemblage des protéines selon le code de l’ARNmessager).
Existent sous formes libres ou liés à des membranes (telle que le réticulum endoplasmique rugueux) :
Les libres synthétisent les protéines dont le champ d’action se limite au cytoplasme.
Les liés synthétisent les protéines à destination des membranes ou devant sortir de la cellule.Complexes cellulaires responsables de la synthèse des protéines.
Transcription de l’ARNm

Réticulum Endoplasmique
Réseau de membranes dans la cellule impliqué dans la synthèse des protéines et des lipides.
Réseaux étendus de citernes et de tubes interconnectés serpentant à l’intérieur du cytosol en partant de la membrane nucléaire externe.
Se distingue par 2 catégories :
-rugueux
Producteur principale des protéines
- lisse :
Producteur principale des lipides
Déplacent des molécules à l'intérieur de la cellule.

Réticulum Endoplasmique Rugueux
Se distingue par la présence de ribosomes sur sa surface.
Les protéines assemblées par ce RE transitent dans les citernes où elles subissent certaines transformations puis sont expédiées via des vésicules de transport vers l’appareil de Golgi où elles achèvent leur transformation.
Déplacent des molécules à l'intérieur de la cellule.

Réticulum Endoplasmique Lisse
Ne possède pas de ribosome, n’est pas impliqué dans la synthèse des glycoprotéines mais bien dans celle des lipides (phospholipides et hormones stéroïdes).
Déplacent des molécules à l'intérieur de la cellule.

Appareil de Golgi ou Complexe de Golgien
Stockage, transport et maturation
Empilement de sacs membraneux aplatis, citernes et vésicules.
Sa fonction principale est de :
Stocker,
Transformer les protéines (provenant du RE rugueux) et
Les Lipides (provenant du RE lisse) puis
Les Expédiés hors de la cellule.
Les vésicules :
Qui acheminent les protéines immatures sont appelées vésicules de transport ,
Tandis que celles qui en sortent sont appelées vésicules de sécrétion .
Présentes dans les terminaux pré-synaptiques des neurones, elles stockent des neurotransmetteurs
Déplacent des molécules à l'intérieur de la cellule.

Lysosomes
Détoxification du cytosol.
Vésicules contenant des enzymes digestives.
Ces enzymes ont à la fois :
Un rôle de neutralisation des virus et bactéries et
Un rôle de dégradation de tissus inutiles.
Digèrent des macromolécules en les cassant en petites molécules.

Peroxysomes
Vésicules contenant différentes enzymes de dégradation, les plus importantes étant la catalase et l’oxydase.
Leur rôle principal est la neutralisation des radicaux libres (substance très réactives contenant des électrons non appariés et qui peuvent dégrader les structures biologiques).
Ils participent également aux mécanismes énergétiques en dégradant et libérant des acides gras.

Granules Denses
Contiennent des hormones ou des neuropeptides destinés à être sécrétés.
Cytosquelette
Réseau de filaments traversant la cellule, charpente et 3 types:
Les microfilaments,
Les filaments intermédiaires et
Les microtubules.

Microfilaments
Constitués de sous-unités sphériques d’actine,
Ils procurent à la cellule sa résistance à la compression et la déformation en général.
Structure notamment les appareils contractiles de la cellule.


Actine G (globulaire)
Forme monomérique soluble en solution aqueuse.
Associé à un cation divalent tel que l'ion calcium ou le magnésium (le magnésium in vivo) et un nucléotide de type ATP ou ADP selon l'état de phosphorylation du nucléotide.


Actine F (filamenteuse) ou Microfilament
7 à 8 nm de diamètre, polymère d'actines G.
Arrangement hélicoïdal dextre,
avec un tour d'hélice comportant 13 monomères et d'une longueur de 37 nm.

Filaments Intermédiaires
Ils ont un diamètre compris entre celui des microfilaments et des microtubules.
Ils sont constitués de sous-unités protéiques fibreuses torsadées.
Ils procurent à la cellule notamment sa résistance à la traction.

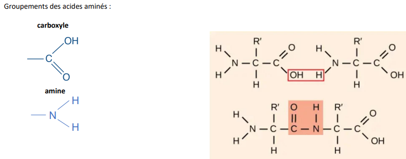
Rappel: Peptide
Molécule comprenant au moins deux résidus d'acides aminés reliés par la liaison peptidique (covalente)


Microtubules
Tubes cylindriques creux issus de l’assemblage de sous-unités sphériques de tubuline.
La plupart des microtubules sont disposées radialement à la cellule et lui donnent sa forme générale. Ils permettent aussi sa mobilité.
A l’origine des cils et flagelles qui rendent possible la mobilité de la cellule.
Ils sont ancrés au niveau d’une de leur extrémité au centrosome.
Composé d’une paire de centrioles eux-mêmes formés de microtubules.

Inclusions
Substances chimiques présentes dans le cytosol et tout ce qui n’appartient pas aux organites cellulaires. (présentes ou non selon le type de cellule).
Ex.: Les pigments (présents que dans les cellules de peau et les poils). Les « autres » vésicules de transports et de stockage.

Noyau
Chez les eucaryotes, il contient l’information génétique sous forme de l’ADN.
Celui-ci contient l’encodage de l’ensemble des protéines nécessaire au fonctionnement de l’organisme entier.
Remarques: La plupart des cellules sont mononuclées (ne possède qu’un noyau)
Certaines, comme les cellules musculaires et certaines cellules de la lignée sanguine sont polynucléées.
Certaines cellules sanguines sont même anucléées et ne possède donc pas de noyau !
De manière analogue à la cellule il peut être décomposé en 3 parties :
La Membrane Nucléaire
Le Nucléosol et
La Chromatine.
La membrane du noyau est une bicouche de phospholipides.
La couche externe est tapissée de ribosomes et est prolongée par le RE rugueux.
A certains endroits, les 2 couches se reliées par des complexes de protéines, les pores nucléaires, dont l’ouverture permet le passage sélectif de certaines molécules notamment l’ARN messager.

Nucléole
Sous-unité sphérique (généralement unique ou double en fonction du cycle cellulaire).
Constitué de protéines, d'ADN et d’ARN.
Siège de la transcription des ARN ribosomiques. (Les nouveaux brins d’ARN sortent de la cellule par les pores nucléaires et ainsi former de nouvelles sous-unités de ribosomes).

Chromatine
Amas diffus d’ADN.
Lors de la mitose, le processus de division cellulaire, elle s’organise sous forme de 46 unités :
Les Chromosomes.

Fonctions de Noyau
Soutien, protection du matériel génétique
Lieu de synthèse de l’ADN et des l’ARNs Siège de la réplication et de la transcription


Endocytose
Pinocytose (« boisson » de la cellule) :
Ingestion de fluides ou de macromolécules au moyen de petites vésicules de diamètre inférieur ou égal à 150 nm ;
Phagocytose (« alimentation » de la cellule):
Absorption de grosses particules, voire de cellules, par des vésicules de diamètre toujours supérieur à 250 nm et pouvant atteindre plusieurs micromètres : les phagosomes.
Rôle :
Absorbation de nutriments.
Fonctions de régulation de signalisation (fonctions nerveuses et endocrines).
Épuration de la membrane cytoplasmique.
Exemples de composants membranaires ou extracellulaires :
Récepteurs membranaires,
Matériel de construction de paroi,
Molécules de la matrice extracellulaire,
etc.

Déroulement de L’endocytose d’une molécule
« Adressage » :
spécifique de la molécule dans les « puits d’endocytose » (les zones de la membrane spécialisées dans l'endocytose);
Fixation
sur la face interne de la membrane d'un réseau de complexes protéiques (impliquant notamment la clathrine);
Polymérisation
des molécules les unes avec les autres entraînant l'invagination de la membrane;
Vésiculation
fermeture des 2 berges de la membrane;
Détachement
de la membrane (nécessitant l'hydrolyse de GTP);
Migration
de la vésicule vers l’intérieur de la cellule; (Ensuite, les clathrines se détachent de la paroi de la vésicule qui devient une vésicule lisse).
Exocytose
Processus par lequel une cellule libère des substances à l'extérieur.
Rôle :
Élimination des déchets.
Fonctions de signalisation et de régulation (fonctions nerveuses et endocrines).
Renouvellement de la membrane cytoplasmique.
Production de macromolécules qui auront un rôle à l'extérieur de la cellule.
Exemples de composants membranaires ou extracellulaires :
Récepteurs membranaires,
Matériel de construction de paroi,
Molécules de la matrice extracellulaire,
etc.
