1/29
Looks like no tags are added yet.
Name | Mastery | Learn | Test | Matching | Spaced | Call with Kai |
|---|
No analytics yet
Send a link to your students to track their progress
Which of the following represents the correct order of stages in a typical injection molding cycle?
Mold Opening/Part Ejection → Mold Closing → Filling → Packing → Cooling → Plasticizing → Mold Opening/Part Ejection
What influences the productivity and quality of injection molded parts?
Material Selection, Product design, mold design, machine parameters setting
An engineer is setting up a Moldex3D simulation and needs to design the mold components. Which of the following is NOT a mold design decision that would be configured in the model setup?
Polymer melt viscosity model selection
What two forces are among the most dominant forces when it comes to die-casting of superheated (fully molten) liquid metals?
Inertia force and Gravity force
![<p>In Moldex3D, simulation results are reported at three key timestamps: <strong>EOF</strong> (End of Filling), <strong>EOP</strong> (End of Packing), and <strong>EOC</strong> (End of Cooling). You may also right-click on the corresponding tab for additional time stamps. The screenshot below shows the result tab of a full injection molding cycle.</p><p class="font-claude-response-body break-words whitespace-normal leading-[1.7]">Based on the graph, what are the approximate filling time, packing time, and cooling time used in this simulation?</p>](https://assets.knowt.com/user-attachments/fcc0e0e9-ec98-4b5e-addb-7695b6a93e80.jpg)
In Moldex3D, simulation results are reported at three key timestamps: EOF (End of Filling), EOP (End of Packing), and EOC (End of Cooling). You may also right-click on the corresponding tab for additional time stamps. The screenshot below shows the result tab of a full injection molding cycle.
Based on the graph, what are the approximate filling time, packing time, and cooling time used in this simulation?
Filling = 2.0 s, Packing = 5.5 s, Cooling = 27.5 s

The graph below shows the sprue pressure over a full injection molding cycle. Given the following setup: filling time = 3 sec, packing time = 9 sec and cooling time = 28 sec. Which point is EOF
B

The graph below shows the sprue pressure over a full injection molding cycle. Given the following setup: filling time = 3 sec, packing time = 9 sec and cooling time = 28 sec. Which point is EOP
G

The graph below shows the sprue pressure over a full injection molding cycle. Given the following setup: filling time = 3 sec, packing time = 9 sec and cooling time = 28 sec. Which point is EOC
L

The graph below shows the sprue pressure vs. time curves for both materials during mold filling. Which of the following correctly identifies Material A and Material B?
Material A = Newtonian (modified); Material B = Non-Newtonian (original)
during the filling stage, Material A reaches a steady-state pressure plateau almost immediately, while Material B rises more gradually and takes longer to reach its plateau. What is the primary reason for this difference in behavior?
Material B exhibits shear thinning behavior. As shear rate changes throughout filling, its viscosity continuously adapts, causing a more gradual pressure rise before stabilizing.
In Case Study 1, regardless of the viscosity value assigned to the modified Newtonian fluid, the Newtonian model consistently produces a higher steady-state sprue pressure than the non-Newtonian model under identical injection molding conditions.
False

the graph below shows the sprue pressure of Material B with the x-axis extended to the end of the filling stage. A sudden sharp pressure increase can be observed near the end of the curve. What is the most likely cause of this spike?
The simulation transitions from the filling stage to the packing stage
Which of the following best describes the general guideline for the number of gates in an injection mold?
Apply only minimum number of gates, as more gates introduce problems such as blush and weld lines.
Which of the following statements about gate positioning are true for the injection molding process?
Weld lines should be positioned away from delicate or stress-concentration areas, and letting weld lines form at the end of the filling stage is beneficial as the subsequent packing phase can help force the weld lines to merge.
A part has a flow length of 250 mm and a uniform wall thickness of 1.0mm. Given the L/T ratio, which of the following descriptions are true for the moldaility of this part?
The part is considered thin-walled and should be reconsidered and modified
What is the primary advantage of a hot runner system compared to a conventional cold runner system?
Hot runner systems are ideal for mass manufacturing with reducing cycle times and minimizing waste: they eliminate runner scraps as the system is heated. Plastic molten is kept within the manifold

Assume that the material is ABS and it initial temperature is at 260 °C. Given the apparent shear viscosity vs. shear rate relationship below, estimate the required force, F, if the top plate of 0.1 m2 surface area is moving at a constant speed (u0) of 1 m/sec and the gap, h, is 0.001 m. Select the closest value of F in N (newton) from the list below.Â
10,000

If the top plate is moving at a velocity ten (10) times faster than the original speed, estimate the value of the force, F, in N. Select the closest value from the list below and see if the force also increases by ten times or else.
30,000
What could be the reason that the force required to move the top plate ten times faster does not increase proportionally by ten times?
Shear thinning behavior and increase in melt temperature
If there is significant viscous heating generated within the melt due to the motion, which region within the plates is expected to experience the highest temperature (that is hotter than other regions)? Select the most accurate statement. Assuming that there is a perfect insulation between the plates and the ABS resin (i.e., no heat transfer takes place between the plates and the ABS resin as per the adiabatic condition).
The melt temperature will increase uniformly throughout the melt region

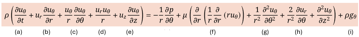
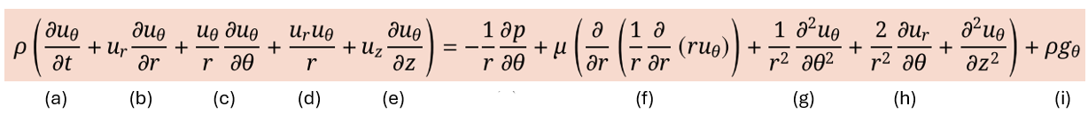
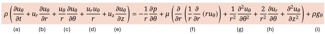
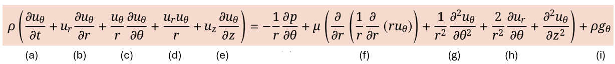
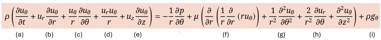
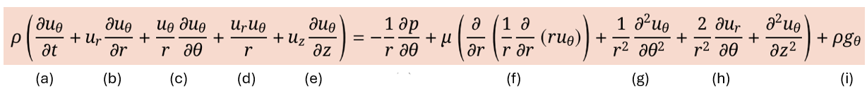
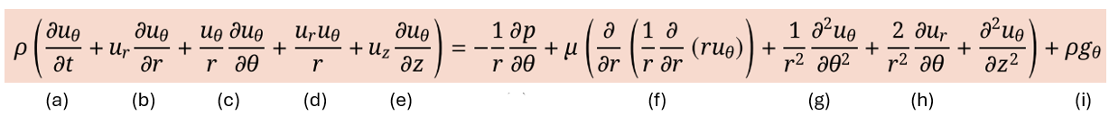
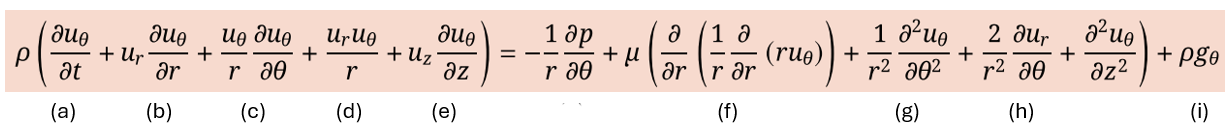
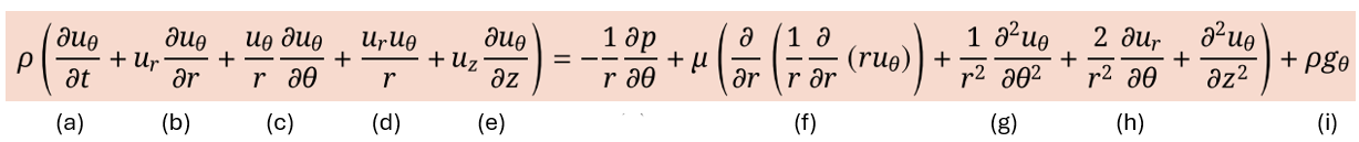
You are designing a device called “parallel-plate rheometer” as shown below to measure the viscosity of a polymer melt sample based on the required torque.
(a) Assuming a steady-state rotation and that the inertia (centrifugal) force and gravity force are negligible, identify two of the most appropriate equations from the list below that you would choose to solve for the velocity field. Hint: select one from the Continuity equation, (I) to (II), and one from the Navier-Stokes momentum equations, (A) through (F).
(II) and (E)

Assuming a steady-state rotation and that the inertia (centrifugal) force and gravity force are negligible:
Term (a) can be neglected due to steady state

Assuming a steady-state rotation and that the inertia (centrifugal) force and gravity force are negligible:
Term (b) can be neglected due to the radial velocity component being zero

Assuming a steady-state rotation and that the inertia (centrifugal) force and gravity force are negligible:
Term (c ) can be neglected due to the axis symmetry condition

Assuming a steady-state rotation and that the inertia (centrifugal) force and gravity force are negligible:
Term (d) can be neglected due to the radial velocity component being zero

Assuming a steady-state rotation and that the inertia (centrifugal) force and gravity force are negligible:
Term (e) can be neglected due to the axial velocity component being zero

Assuming a steady-state rotation and that the inertia (centrifugal) force and gravity force are negligible:
Term (f) cannot be neglected

Assuming a steady-state rotation and that the inertia (centrifugal) force and gravity force are negligible:
Term (g) can be neglected due to the axis symmetry condition

Assuming a steady-state rotation and that the inertia (centrifugal) force and gravity force are negligible:
Term (h) can be neglected due to the axis symmetry condition

Assuming a steady-state rotation and that the inertia (centrifugal) force and gravity force are negligible:
Term (i) can be neglected due to the negligible gravity force assumption