1/9
Looks like no tags are added yet.
Name | Mastery | Learn | Test | Matching | Spaced | Call with Kai |
|---|
No analytics yet
Send a link to your students to track their progress
Cytosine (C)
A pyrimidine
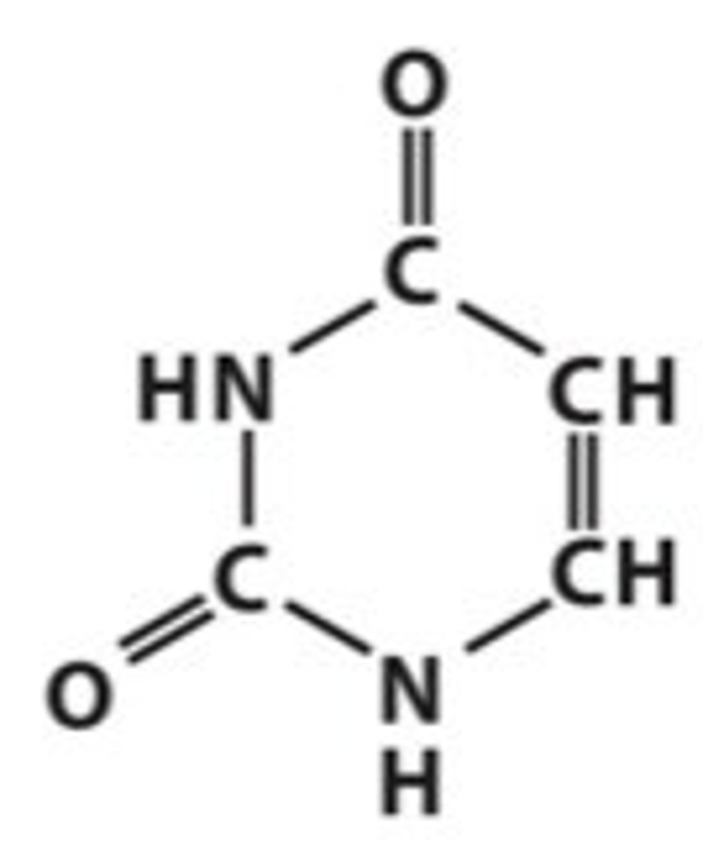
Uracil (U)
A pyrimidine
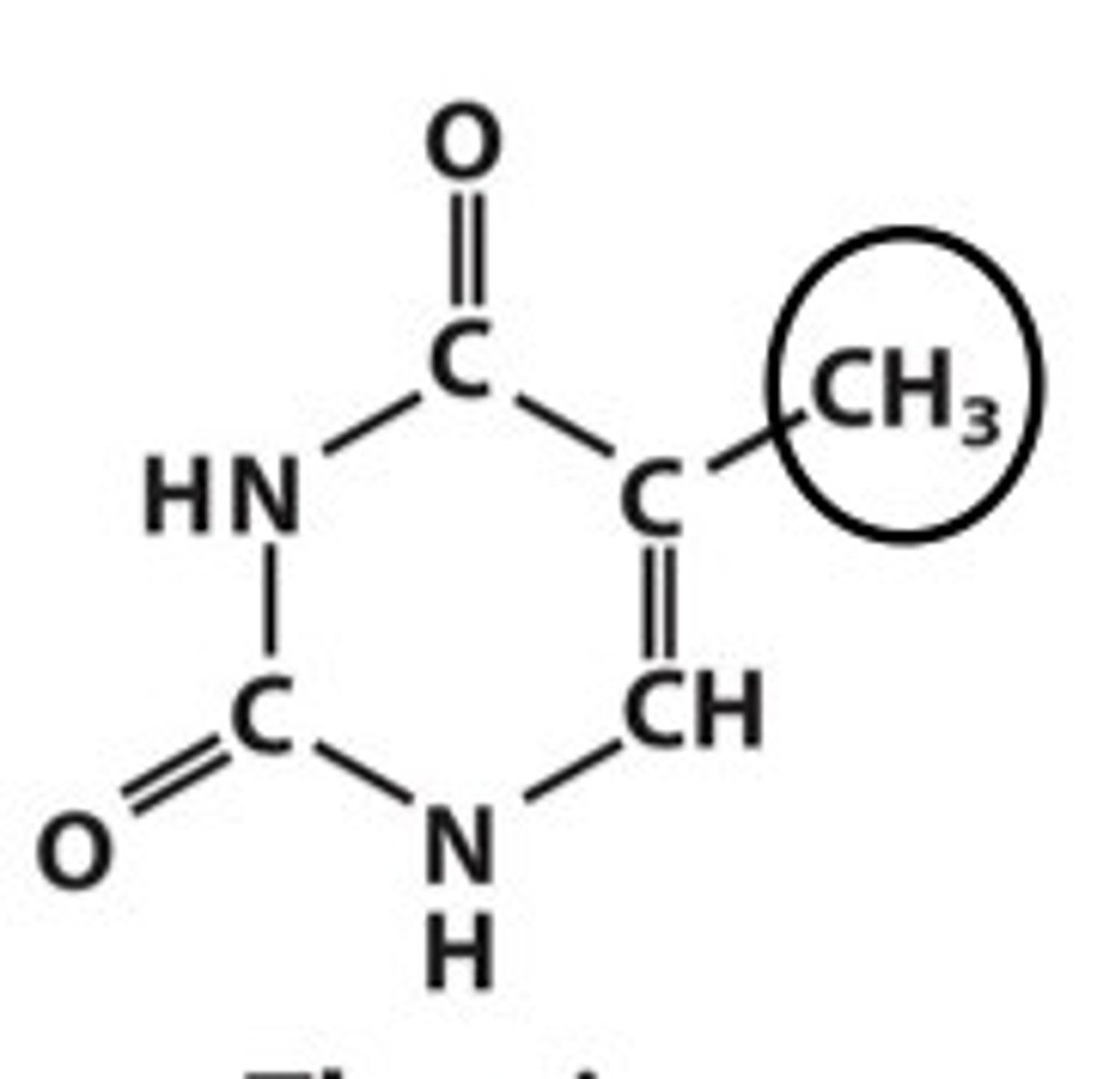
Thymine (T)
A pyrimidine
Guanine (G)
A purine
Adenine (A)
A purine
Cytosine

Thymine

Uracil

Adenine

Guanine
