1/92
Looks like no tags are added yet.
Name | Mastery | Learn | Test | Matching | Spaced | Call with Kai |
|---|
No analytics yet
Send a link to your students to track their progress

nitrous oxide (laughing gas)

cyclopropane

ethylene

Halothane (Fluothane)

halothane (Fluothane) and its metabolic products (Br +Cl + F)

enflurane (ethrane)

enflurane (ethrane) + metabolite (F and Cl)

isoflurane (forane)

isoflurane (forane) + metabolites (F and Cl)

Desflurane (Suprane)

sevoflurane (ultane)

sevoflurane (ultane) + metabolites (F)

ketamine HCl (Ketalar)

esketamine (Spravato)

ketamine metabolism

phencyclidine (stuctural analog of ketamine)

Profolol (Diprivan)

fospropofol (Lusedra)

Midazolam Hydrochloride (Versed)

Remimazolam (Byfavo)

etomidate (Amidate)

methohexital sodium (brevital sodium)

Thiopental Sodium (sodium pentothal)

metabolism of thiopental sodium

GABA

blue = 4-5
yellow = 7-8
green = 7-8

barbituric acid (left) tautometization to
2,4,6 trihydroxypyirmidine (middle)
thiobarbituric acid (right)

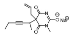
drug = secobarbital (seconal)
left = a-oxidation (allylic)
blue= epoxidation
purple= w-1 oxidation
pink = hydrolysis

secobarbital (seconal)

pentobarbital (nembutal)

amobarbital (amytal)

drug= amobarbital (amytal)
green = w-1 oxidation
blue= w-oxidation

butabarbital (Butisol)

phenobarbital (Luminal, Solfoton)

Chloral Hydrate (Nortec)

Chloral Hydrate (Nortec) with metabolites

Diphenhydramine (Nytol, Sominex, Unisom)

zoldipem tartrate (ambien)

Zaleplon (Sonata)

Eszopiclone (Lunesta)

Dexmedotimidine HCl (Precedex)

Ramelton (Rozerem)

Tasimelteon (Hetlioz)

Suvorexant (Belsomra)

Lemborexant (Dayvigo)

Daridorexant (Quviviq)

left= benzodiazepines
right = triazolobenzodiazepines

chlordiazepoxide HCl (Librium)

diazepam (valium)

diazepam (Valium) —> temazepam (restoril) —> oxazepam (Serax)

clorazepate dipotassium (Tranxene, Gen-xene)

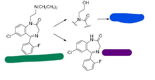
flurazepam (dalmane)

green (drug) = fluzepam (Dalmane)
blue = glucoronide
purple = N-desalkyl

Quazepam (Doral)

quazepam (Doral) and metabolites

lorazepam (ativan)

alprazolam (Xanax)

estazolam (Prosom)

triazolam (Halcion)

flumazenil (Romazicon)

buspirone HCl (Buspar)

Gepirone HCl (Exxua)

Hydroxyzine HCl (Atarax)

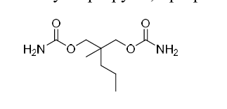
Meprobamate (Equanil, Miltown)

methocarbomal (Robaxin)

carisoprodol (Soma)

mertaxalone (Skelaxin)

baclofen (Lioresal)

chlorzoxanone (Paraflex, ParafonForte)

Cyclobenaprine (Flexeril, Fexmid, Amrix)

dandrole sodium (dantrium)

Orphenadrine Citrate (Norflex)

Tizanidine (Zanafllex)

phenothiazines

chlorpromazine hydrocloride (Thorazine)

Triflupromazine HCl (Vesprin)

Prochlorperazine (Compazine)

Perphenazine (Trilfafon)

Fluphenazine HCl (Prolixin, Permitil)

Thiothixenr (Navane)

MOlindone HCl (Moban)

SAR of butyrophenones

Haloperidol (Haldol)

Droperidol (Inapsine)

Pimozide (Orap)

LIthium Carbon (Eskalith, Lithionate, Lithane, LIthotabs)

Lithium Citrate (Cibalith-S)

Loxapine Succinate (Loixtane)

Clozapine (Clozaril)

Respiridone (Risperdal)

iloperidone (Fanapt, Fanapta)

Ziprasidone (Geodon)