1/4
Looks like no tags are added yet.
Name | Mastery | Learn | Test | Matching | Spaced | Call with Kai |
|---|
No analytics yet
Send a link to your students to track their progress
Why do we use Paired Sample t-tests?
Test difference in mean scores for a sample comprising matched pairs
pre + post intervention on same individual
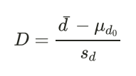
How do you get the t-statistic
d¯ = mean of individual difference scores (di)
di = xi1 − xi2
μd0 = hypothesised population mean difference in the null
assumed to be 0
SEd = SE of mean difference (d)
sd = SD of the difference scores (di)
n = sample size / number of matched pairs
essentially a one sample t-test on the difference scores

Hypothesis notation
Two-Tailed
Null = population mean of difference scores = hypothesised population mean difference scores
One-Tailed
less or greater than

Data Requirements
Numeric Value
Normality
Homogeneity across pairs
Assumptions concern difference scores
Cohen’s D
d¯ = mean of difference scores
μd0 = hypothesised difference in means in the null
sd = SD of difference scores
