1/52
Looks like no tags are added yet.
Name | Mastery | Learn | Test | Matching | Spaced | Call with Kai |
|---|
No analytics yet
Send a link to your students to track their progress
What is the importance of site investigation in civil engineering projects?
gather information about the site
determine soil profile
3. obtain soil sample for the lab
determine Ground Water Table
Unit weight of concrete
150 lb/ft³
25 KN/m3
2 methods of Site- investigation subsurface exploration
Geophysical methods
Exploratory Borings
What are the 4 different boring methods?
Wet Rotary Drilling
Coring
Hollow Stem Continuous flight Auger Drilling
Solid Stem continuous flight auger drilling
Explain wet rotary drilling method? How do they obtain the sample?
What type of soil?
What type of sampler?
In this method, drill bit is used to drill through the soil. Mud and water is discharged at the bottom and pushing soil up to the surface. the mud also prevents the soil from caving in.
To obtain the sample, the drill bit is removed and they attach a sampler.
Any type of soil
Both shelby tube and split spoon sampler, depending on the type you want
What can be determined from disturbed samples?
Disturbed samples - Mechanical properties have been altered, but it can be used to determine other things like soil classification, grain size, mineral content
What can be determined from un-disturbed samples?
Undisturbed samples is unaltered, it can be used to determine soil strength.
2 Different Sampling Methods
Shelby Tube Sampler
Split Spoon Sampler
What type of sample is received form shelby tube sampler?
Shelby tube sample: Undisturbed sample
What type of sample is received from split spoon sampler?
Split Spoon sample: Disturbed sample
How does split spoon method disturbed the sample?
It disturbs the soil because it is thick walled and it is driven into the ground with heavy hammer causing vibration.
3 types of in situ test
Standard Penetration Test
Cone Penetration Test
Vane Shear Test
What is the Standard Penetration Test (SPT)? What can the N value be used for?
Split spoon sampler is driven into 18 in into the soil, record number of impact every 6 inches. Calculate the N value, the number of blows needed to drive the soil the last 12 inches. The N value can be used to estimate angle of friction or the undrained shear strength
What does the Cone Penetration Test (CPT) measure? What does the data tell you?
A cone shaped probe is pushed into the soil at a constant rate, tip resistance, force needed to push the soil and sleeve friction, friction force acting on the side of the tip is documented.
When is Vane shear test used ? Explain Procedure of a Vane Shear stress?
Used for soft soil/clays, Metal Vane is is pushed inside the soil, rotate it the soil fail in shear, the torque is calculated to find the undrained shear strength.
2 limit state to design foundations
Ultimate Limit state and Service Limit state
Derive the unit weight formula for soil

Formula for specific weight


Is this chart for corner or middle
corner

Is this chard for middle or corner?
Middle along the line
1 m to ft ?
3.3 ft
Fomula for risk
Probability of * Cost of failure ($)
What is the unit for risk?
$
What is the formula for Reliability
r= 1-Pf
To calculate strength of fine grain soil, what is c’ and what is phi’
c’ is SU and phi’ is 0
Short term behaviour of fine grain soil is undrained, True or False
True
What is the pressure caused by footing to the ground?
Bearing Pressure
3 things that affect bearing capacity
cohesion, surcharge/embedment, friction
Maximum depth dimension that failure happens under the footing
Equals to B
What does higher sleeve friction and low tip resitence in CPT tells you? What kind of soil?
Higher cohesion, fine grain soil, clay
What does lower sleeve friction and high tip resistance in CPT tells you? What kind of soil?
Granular soil, sand
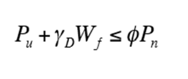
LRFD Pu equation

3 Modes of failure?
General Shear Failure
Local Shear Failure
Punching Shear Failure
When does General Shear Failure occurs
Dense sand, over consolidated clay
When does Local Shear Failure occur?
Mediumly dense sand, lightly consolidated clay
When does punching shear occur?
Loose sand and weak clays

Which one is the resistance factor, which one is the load factor?
Unit weight of concrete in SI and English
23.6 KN/M3 and 150 LB/ft³

If the footing is embedded,