1/67
Looks like no tags are added yet.
Name | Mastery | Learn | Test | Matching | Spaced | Call with Kai |
|---|
No analytics yet
Send a link to your students to track their progress
Allowed fermion vertices

Allowed 3 boson vertices

Matrix element

Parity

What is C parity and how to calculate


Pseudoscalar meson nonet



Vector meson nonet


Baryon octet

Baryon decuplet

Quark generations

Leptons

B mesons

D mesons

Fermi’s Golden Rule
Where W_fi is the rate (transitions per unit time), T_fi is the transition matrix element and d rho(E_f) is the number of states available per unit energy in final state

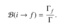
Total width and partial width
The total width is the sum of all of the partial widths. The total width is the total rate (multiplied by h-bar)

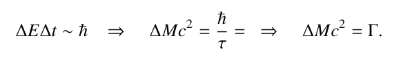
Natural width
For the shortest lifetimes, the uncertainty principle is important! Natural width is the width of pure Breit-Wigner resonance.

Branching fraction
Fraction of events for which an initial state decays to final state f

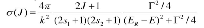
Breit-Wigner formula for cross section

Transition matrix element
Describes the dynamics (coupling strength, spin dependency, theory model)

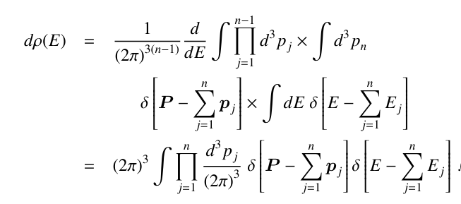
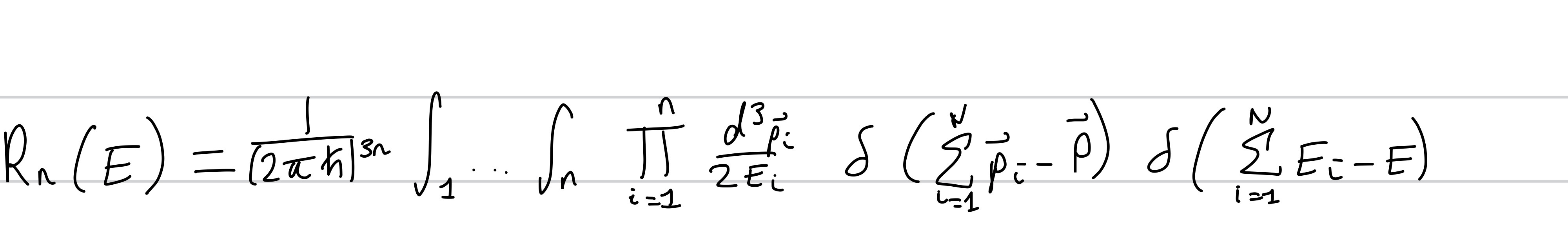
Density of states of n particles
Delta functions impose conservation of energy and momentum

Matrix element with Lorentz invariant wavefunction

Golden Rule in a Lorentz invariant form

FGR for two-body decay


Rotation
Dropping h-bar

3-D rotation matrices

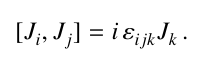
Commutation relation for rotation generators

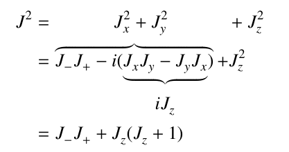
Raising and lowering operators (J)

J²


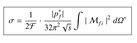
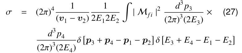
Rate and cross section:

1+2 —> 3+4 scattering FGR for cross-section


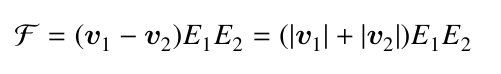
Lorentz invariant flux term

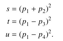
Lorentz-invariant Mandelstam variables

Cross section fixed target

Cross-section in zero-momentum frame (in a collider)

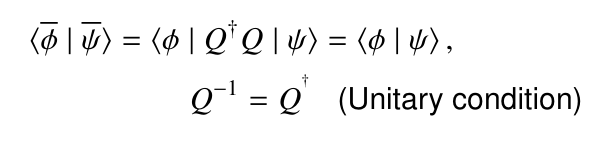
Unitary condition

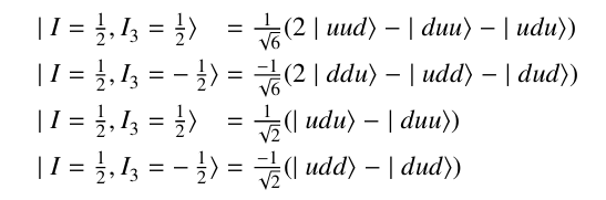
Clebsch-Gordan coefficients


Young’s Tableaux rules
Numbering goes from 1→n where n is the number of possible states of one square (e.g. 2 for spin-1/2, 3 for spin-1 etc)

Concept of isospin

Assumptions for isospin

I=1/2 barons

Spin-flavour wavefunction of proton

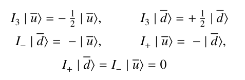
Isospin of antiquarks

Three quarks with Young’s Tableaux

Parity of mesons

C for mesons

Parity of baryons

Rho0 decay into into two pions

Parity of multiple pions

Parity conservation
Not in weak (yes in strong and electromagnetism)
Transformations between quarks


Young’s tableaux for an antiquark and a quark

J=0 mesons

J=1 vector mesons


Baryon wavefunction

J=1/2 baryon octet

J=3/2 decuplet baryons

GIM suppression


How was the isospin of the J/psi found?
(here using it for |I, I_3>)

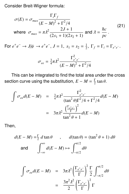
Area under Breit-Wigner curve for electron-electron collisions

Strong decay of J/Psi
Needs 3 gluons! Because:
a single gluon is not colourless so not colour-conserving. A colourless exchange is possible with two gluons (e.g. R¯ B + ¯RB) but this is forbidden for the following reason.
a gluon is not a C eigenstate. It does not conserve the charge quantum number C|J/ψ⟩ = −1, C|gg⟩ = +1. A three gluon exchange is the minimum number of gluons that can propagate a colourless C-odd transition
So the decay depends on α_s^6. OZI-suppressed. Running of the strong coupling constant means it’s more significant with lighter mesons.
Possible decays of charmonium


D-mesons
The “open-charm” equivalents to charm mesons. They decay by the weak with a long lifetime

Phase space for three-body decays (just result)

Dalitz plots
The boundary of the Dalitz plot is due to kinematics. Any non-uniformity in the distribution is due to the matrix element. Resonances will appear as bands.

Lifetime

Young’s tableaux for flavours of three quarks

Area under Breit-Wigner peak

Integrated n-body phase space
