1/95
Looks like no tags are added yet.
Name | Mastery | Learn | Test | Matching | Spaced | Call with Kai |
|---|
No analytics yet
Send a link to your students to track their progress

MAX DEFLECTION @ MIDSPAN


MAX DEFLECTION @ MIDSPAN


MAX DEFLECTION @ END SPAN

FOR AXIALLY LOADED COLUMNS, NUMBER OF BARS IS ALWAYS _____.
EVEN

MAX DEFLECTION @ END SPAN


MAX DEFLECTION @ END SPAN


MAX DEFLECTION


DEFLECTION UNDER POINT LOAD


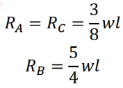
MAX DEFLECTION AND LOCATION FROM SUPPORT B


MAX DEFLECTION @ MIDSPAN


MAX MOMENT @MIDSPAN


MAX MOMENT @MIDSPAN


MAX MOMENT @MIDSPAN


POSITIVE MAX MOMENT @ SPAN AB OR BC (CONTINUOUS BEAM, 2 EQUAL SPAN)


NEGATIVE MAX MOMENT @MID SUPPORT (helpful in purlins)


MAX SHEAR (LOCATED AT MID SUPPORT)


REACTION AT EACH SUPPORTS


NEGATIVE MAX MOMENT @ INTERIOR SUPPORTS (CONTINUOUS BEAM, 3 EQUAL SPANS) helpful in purlins
USABLE IN PURLINS


POSITIVE MAX MOMENT AND ITS LOCATION
NEGATIVE MAX MOMENT
MAX SHEAR
REACTIONS AT SUPPORT


POSITIVE MAX MOMENT @ MIDSPAN
NEGATIVE MAX MOMENT
MAX SHEAR AND REACTIONS


POSITIVE MAX MOMENT @ MIDSPAN
NEGATIVE MAX MOMENT
MAX SHEAR AND REACTIONS


POSITIVE MAX MOMENT @ MIDSPAN
NEGATIVE MAX MOMENT
MAX SHEAR AND REACTIONS


POSITIVE MAX MOMENT
NEGATIVE MAX MOMENT
MAX SHEAR AND REACTIONS
back up 3me

RCD: CLEAR SPACING

COLUMN IS AXIALLY LOADED WHEN e is
LESS THAN OR EQUAL TO 0.10h (TIED) AND 0.05h (SPIRAL)

COLUMN IS ECCENTRICALLY LOADED WHEN e is
GREATER THAN OR EQUAL TO 0.10h (TIED) AND 0.05h (SPIRAL)

As min and As max for Column
As min = 0.01Ag (1%)
As max = 0.08Ag (8%)
NOMINAL STRENGTH OF COLUMN Pn

SPIRAL REINFORCEMENT RATIO
4 na asong decidido over, sir dacay 2
Dc = D-2cc

š REDUCTION FACTOR FOR COLUMNS TO CONSIDER MINIMAL BENDING AND DESIGN STRENTH Ć
š = 0.80 and Ć = 0.65 FOR TIED
š = 0.85 and Ć = 0.75 FOR SPIRAL
GEOMETRIC CENTROID OF COLUMNS IS BASED ON _____.
GEOMETRIC SHAPE OF CONCRETE ONLY.
PLASTIC CENTROID IS BASED ON _____.
COMPRESSIVE FORCES OF THE COLUMN. ASSUMING ALL MATERIALS IN COLUMN ARE SUBJECTED TO COMPRESSION.
HOOKEāS LAW STRESS STRAIN

ECCENTRICALLY LOADED COLUMNS BALANCED CONDITION

DEPTH OF COMPRESSION BLOCK
š
DEPTH OF NEUTRAL AXIS FROM ECCF
c
PREVENT UPLIFTING IN FOOTING (NO TENSILE STRESS)
q min = 0

PREVENT OVERTURNING IN FOOTING

THIN-WALLED PRESSURE VESSEL: LONGITUDINAL STRESS

THIN-WALLED PRESSURE VESSEL: TANGENTIAL STRESS
CIRCUMFERENTIAL STRESS
HOOP STRESS
always critical.

DETERMINACY FOR BEAMS
i = r + fi - 3n
r = reactions
fi = internal forces
n = number of members

DETERMINACY FOR TRUSSES

DETERMINACY OF FRAMES

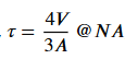
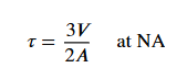
TRANVERSE SHEAR: SOLID CIRCLE

TRANVERSE SHEAR: RECTANGLE

TRANVERSE SHEAR: HOLLOW TUBE

TRANVERSE SHEAR: TRIANGLE

SPACING OF BARS IN SLABS/FOOTING
bab over as

NOMINAL MOMENT CAPACITY AND DESIGN MOMENT CAPACITY

CHECKING IF THE BEAM IS SRB:
Ļ4 is used for ANALYSIS AND CHECKING ONLY.

IN CONCRETE BEAM, UPON CHECKING OF As actual, YOU FOUND OUT THAT IT IS GREATER THAN As max (Ļ4), WHAT IS THE NEXT STEP?
USE DRB :<
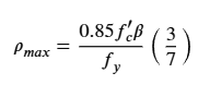
IN DESIGN, TO MAXIMIZE THE BEAM 1 IN DRB, WE SET THE AREA OF STEEL REINFORCEMENTS TO MAX USING Ļ5 , FORMULA FOR Ļ5?

MN1 IN DRB

MN2 IN DRB

MAX MOMENT FOR MOVING LOADS (TWO WHEELS)
mangopya ka Right Left - PsaDo 2 for real


It is defined as the ratio of shear stress to shear strain.
Modulus of Rigidity
It is defined as the ratio of normal stress to normal strain.
Modulus of Elasticity
It is defined as the ratio of the negative lateral strain to longitudinal strain.
Poisson's Ratio
It is the gradual, time-dependent deformation of a material when it is subjected to a sustained load for a long period of time, even if the load is below its ultimate or yield strength.
Creep
It is the gradual decrease in stress in a material when it is subjected to a constant strain over time.
Relaxation
It is the reduction in volume or shortening of a material over time due to loss of moisture, chemical changes, or temperature effects, even without external loads.
Shrinkage
It is a measure of the "thinning" or "thickening" of a material when it is stretched or compressed. It is defined as the negative ratio of transverse strain to axial strain.
Poissonās Ratio
This is a fundamental material property that describes stiffness and is defined as the ratio of stress to strain in the linear-elastic region.
Modulus of Elasticity
This is the decrease in stress in a steel tendon over time when it is held at a constant strain.
Relaxation
PICK-UP POINTS: MINIMIZING MAXIMUM SHEAR

PICK-UP POINTS: MINIMIZING MAXIMUM MOMENT

MOMENT CURVATURE EQUATION
Ļ = radius of curvature
M = applied moment
E = modulus of elasticity
I - moment of inertia

IN RCD, VU CRITICAL IS FOUND AT _.
d (effective depth) distance from the face of the support.

THREE MOMENT EQUATION


THREE MOMENT EQUATION
palala at palabalaba


THREE MOMENT EQUATION
8 at 7

Material property that can resist deformation without rupture.
DUCTILITY
Formula for ductility of material.

SHEAR STRENGTH OF CONCRETE IN COLUMN (simplified)
1 day NUng AUGUST 14

WHEN VU > ΦVC
STIRRUPS SHALL BE PROVIDED.
WHEN O.5ΦVC < VU ⤠ΦVC
MINIMUM AREA OF REINF. SHALL BE PROVIDED. GREATER OF THE TWO.

WHEN VU ⤠0.5ΦVC
STIRRUPS NO LONGER NEEDED.
SPACING LIMITS FOR SHEAR REINFORCEMENTS.
MALAKAS NA CONCRETE MEANS MAS MALUWAG NA SPACING.
MAHINANG CONCRETE MEANS MASINSIN NA SPACING.

REDUCTION FACTOR Φ IN BEAMS
mode 3-2

IN MOVING LOADS, IF NOT GIVEN THE DEFAULT DISTANCE OF TWO-WHEEN LOAD IS?
4.3 METERS
ASmin FOR SLABS/FOOTING

STRUCTURE IS GEOMENTRICALLY UNSTABLE WHEN..
PAG LAHAT NG REACTION AY PARALLEL AND/OR CONCURRENT.
PAG DI NA-SATISFY ANG 3 EQUILIBRIUM EQUATIONS.
EFFECTIVE DEPTH AND bW OF SPIRAL COLUMN
d=0.8D and bw = D
D = gross diameter of column

SMAX AND CENTER TO CENTER SPACING FOR SPIRAL COLUMN

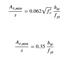
ASmin and RHOmin

Maximum superimposed load
subtract weight of the beam
IN REINFORCED CONCRETE BEAM, FORMULA FOR fy

IN REINFORCED CONCRETE BEAM, FORMULA FOR fs

DRB ANALYSIS: NOMINAL MOMENT AND DESIGN MOMENT
puro compressive forces ang considered.

DRB ANALYSIS: EQUILIBRIUM CONDITION
*na hindi dadaan kay compression block (a)

CRITICAL EULER BUCKLING STRESS

what to choose on critical buckling load?
SMALLER, ibig sabihin siya ang section na kaunting load lang ang kayang mabuhat bago mag-buckle. that makes it critical, delikado.
what to choose on critical slenderness ratio?
LARGER VALUE, just take note na may limit ang slenderness ratio (kL/r ⤠200) so kapag lumalapit ang value sa 200, ayon ang mas nagiging critical.
in symmetrical structure such as beam loadings, beam cross-section of beamā¦
thuroughly analyze it and find useful symmetrical lifehacks such as centroid, at iba pang mas magpapadali sa buhay