1/49
BASED OFF STUDY GUIDE!!!!!!!!!!!!!!
Name | Mastery | Learn | Test | Matching | Spaced | Call with Kai |
|---|
No analytics yet
Send a link to your students to track their progress
Brand name for the following:
Acyclovir
Valacyclovir
Docosanol
Acyclovir (Zovirax)
Valacyclovir (Valtrex)
Docosanol (Abreva)
Brand name for the following:
Valganciclovir
Foscarnet
Letermovir
Valganciclovir (Valcite)
Foscarnet (Foscavir)
Letermovir (Prevymis)
Brand name for the following:
Oseltamivir
Zanamivir
Baloxavir
Nirmatrelvir/ritonavir
Oseltamivir (Tamiflu)
Zanamivir (Relenza)
Baloxavir (Xofluza)
Nirmatrelvir/ritonavir (Paxlovid)
Where are HSV-1 and HSV-2 infections in the body?
HSV-1: mouth, skin, face, esophagus
HSV-2: genitals, rectum, skin, hands, or meninges
What is a nucleotide? Be able to identify by picture.
nucleotide= base+ sugar+ phosphate

What is a nucleoside? Be able to identify by picture.
nucleoside= base + sugar

What is a nitrogenous base? Be able to identify by picture.
base= A,T, G, C, U

What are the names of the drugs used to treat HSV?
Acyclovir
Valacyclovir
Famciclovir
Docosanol
What are the names of the drugs used to treat CMV?
Ganciclovir
Valganciclovir
Cidofovir
Foscarnet
Letermovir
How is Acyclovir activated?
What is the name of its active form?
STEPS:
1st phosphorylation by HSV Thymidine Kinase (TK)
2nd and 3rd phosphorylation by host cell
Active form= acyclovir triphosphate (bc of 3 phosphorylations necessary)
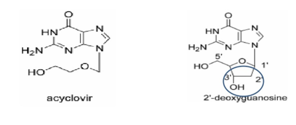
Difference between acyclovir and deoxyguanosine:
acyclovir= guanine + artificial acyclic sugar
NO 3’ HYDROXYL GROUP
deoxyguanosine= guanine + deoxyribose sugar

What is the MOA of Acyclovir?
2 MECHANISMS:
competitive inhibition—> inhibits DNA polymerase
incorporated into viral DNA= inhibits elongation= chain termination
(bc no 3’ hydroxyl)
What does it mean when acyclovir is “selectively toxic”?
affinity to HSV TK> human TK
What is the resistance mechanisms with acyclovir?
absence or partial production of viral TK
mutations to DNA polymerase
Which medication is used in Acyclovir-resistant case?
Foscarnet
What adverse effects are seen with IV admin of Acyclovir?
crystal nephropathy, decreased CrCl
CNS—> seizures
What is the advantage of using Valacyclovir> Acyclovir?
Valacyclovir has increased oral bioavailability=increased efficacy
Acyclovir has POOR oral bioavailability
How is Valacyclovir structurally different Acyclovir?
Valacyclovir has a L-valyl ESTER GROUP!!!!!!!!!!

What is the active form of Famciclovir?
Penciclovir
How is Famciclovir converted to Penciclovir?
oxidation and deacetylation
How is the MOA of Famciclovir compared to Acyclovir?
Acyclovir has 2 MOA
Famciclovir ONLY inhibits DNA polymerase (no chain termination)
MOA of Docosanol?
inhibits fusion of host cell plasma membrane and HSV envelope—> INHIBITS VIRAL ENTRY
What are the tx options for Shingles?
start within 3 days:
Acyclovir
Valacyclovir
Famciclovir
What are the tx options for pain associated with Shingles?
lidocaine
gabapentin, pregabalin
duloxetine, amitriptyline
What is the MOA of Ganciclovir?
(same as acyclovir)
2 mechanisms
inhibits viral DNA polymerase
inhibits elongation, chain termination
What is the resistance with Ganciclovir?
UL97 mutations
DNA polymerase mutations
What are the BBW with Ganciclovir?
myelosuppression
carcinogenic/teratogenic
inhibits spermatogenesis
Compare Acyclovir with Ganciclovir:
differences/similarities in phosphorylation?
side effects?
concentration in cells?
MOA?
BOTH REQUIRE PHOSPHORYLATION, BUT
For acyclovir—> 1st phosphorylation done by TK
For ganciclovir—> 1st phosphorylation done by UL97
2nd and 3rd phosphorylation for both done by host cell
Ganciclovir has MORE severe side effects (compared to acyclovir)
Ganciclovir is more concentrated in the cells
What are the DOC for CMV?
How to treat refractory cases of CMV?
Which agent is used for prophylaxis?
DOC: Ganciclovir, Valganciclovir
Refractory: Cidofovir, Foscarnet
Prophylaxis: Letermovir
What are the advantages to using Valganciclovir> Ganciclovir?
oral bioavailability is increased by 61% with Val
What is the MOA of Letermovir?
inhibits CMV DNA terminase
(DNA terminase is an enzyme required for viral DNA packaging and replication)
What is the MOA of Foscarnet?
inhibits DNA polymerase
by directly blocking its pyrophosphate binding site
inhibits cleavage of pyrophosphate from dNTP
What is the MOA of Cidofovir?
inhibits DNA polymerase
inhibits elongation= chain termination
Compare Cidofovir to Foscarnet:
phosphorylation?
structure?
MOA?
Phosphorylation
Foscarnet—> NO phosphorylation
Cidofovir—> needs dephosphorylated
Structure
Foscarnet—> NO BASE OR SUGAR
Cidofovir—> based off cytidine base
MOA
Foscarnet—> just inhibits DNA polymerase
Cidofovir—> inhibits DNA polymerase and inhibits elongation and causes chain termination
ADRs of Foscarnet?
ADRs of Cidofovir?
Foscarnet
BBW—> renal impairment
electrolyte disturbances
Cidofovir
nephrotoxicity
What is the location of each of the following?
HA
Neuraminidase (NA)
M2
PA
Sialic Acid
HA: surface of virus
NA: surface of virus
M2: surface of virus
PA: part of the RNA polymerase complex inside virus
Sialic Acid: surface of host cell membrane
What is the function of each of the following?
HA
NA
M2
PA
Sialic Acid
HA- attaches to host cell and allows virus to enter
NA- cleaves sialic acid, allows release of virus particles into host cell
M2- ion channel
PA- enzyme required for viral gene transcription
Sialic Acid- what HA binds to on the host cell, cleaved by NA
What is the MOA of Oseltamivir, Zanamivir, and Peramivir?
NEURAMINIDASE INHIBITORS!!
inhibits viral (influenza A and B) release
Oseltamivir—> also inhibits amantadine/rimantadine resistant influenza A
What Neuraminidase inhibitors are mainly excreted in the kidneys?
Oseltamivir
Zanamivir
ADRs of Oseltamivir:
HA, n/v
Rare: self-injury, delirium, neuropsychiatric behavior
ADRs of Zanamivir:
bronchospasm
acute deterioration in pts. with asthma or COPD
ADRs of Peramivir:
serious skin rxns/ hypersensitivity
neuropsychiatric events
How is Oseltamivir activated?
BY ESTERASE ENZYME
converts oseltamivir phosphate (ester prodrug)—> oseltamivir carboxylate (active form)
What is the MOA of Baloxavir?
inhibits endonuclease activity of polymerase acidic (PA) protein—> a specific enzyme in RNA polymerase complex required for viral gene transcription
What is an ADR with Baloxavir? Drug interactions?
ADR—> diarrhea
Drug Interactions:
DAIRY
MULTIVALENT CATION CONTAINING DRUGS (antacids)
What antivirals are used to treat COVID-19?
Nirmatrelvir/Ritonavir
Molnupiravir
Remdesevir
What is the MOA of Nirmatrelvir/Ritonavir?
Nirmatrelvir: inhibitor of protease MPRO (essential in viral replication)
Ritonavir: HIV-1 protease inhibitor and CYP3A4 inhibitor
What is the MOA of Molnupiravir?
causes viral mutations
oral prodrug of cytidine—> converted to N4 hydroxycytidine
uptake in triphosphate form by viral RNA-dependent RNA polymerase= viral mutations
What is the MOA of Remdesevir?
chain terminator
adenosine nucleotide prodrug—> phosphorylated into triphosphate
incorporated into nascent RNA—> chain termination
What is the BBW of Paxlovid?
significant drug-drug interactions (bc of Ritonavir)