1/8
Looks like no tags are added yet.
Name | Mastery | Learn | Test | Matching | Spaced | Call with Kai |
|---|
No analytics yet
Send a link to your students to track their progress

Indefinite Integral: Constant Shortcut


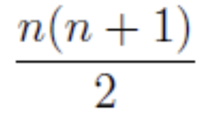
Indefinite Integral: i Shortcut


Indefinite Integral: i2 Shortcut


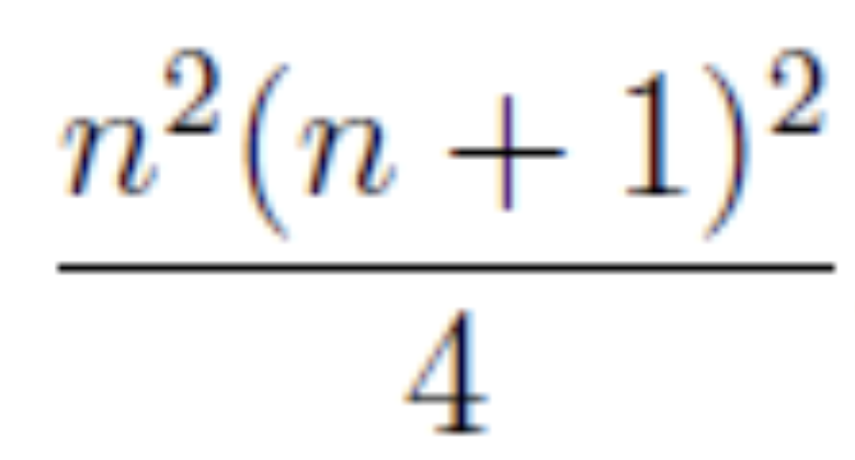
Indefinite Integral: i3 Shortcut


Definition of xi


Definition of 𝚫x


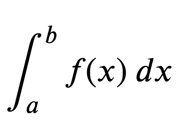
Definite Integral: General Equation

Riemann Right-hand Sum

𝚫xi
the width of the i-th small rectangle used to approximate the area under a curve (i.e, the width of the rectangle that pertains to the number set equal to i)