1/5
Looks like no tags are added yet.
Name | Mastery | Learn | Test | Matching | Spaced | Call with Kai |
|---|
No analytics yet
Send a link to your students to track their progress

#



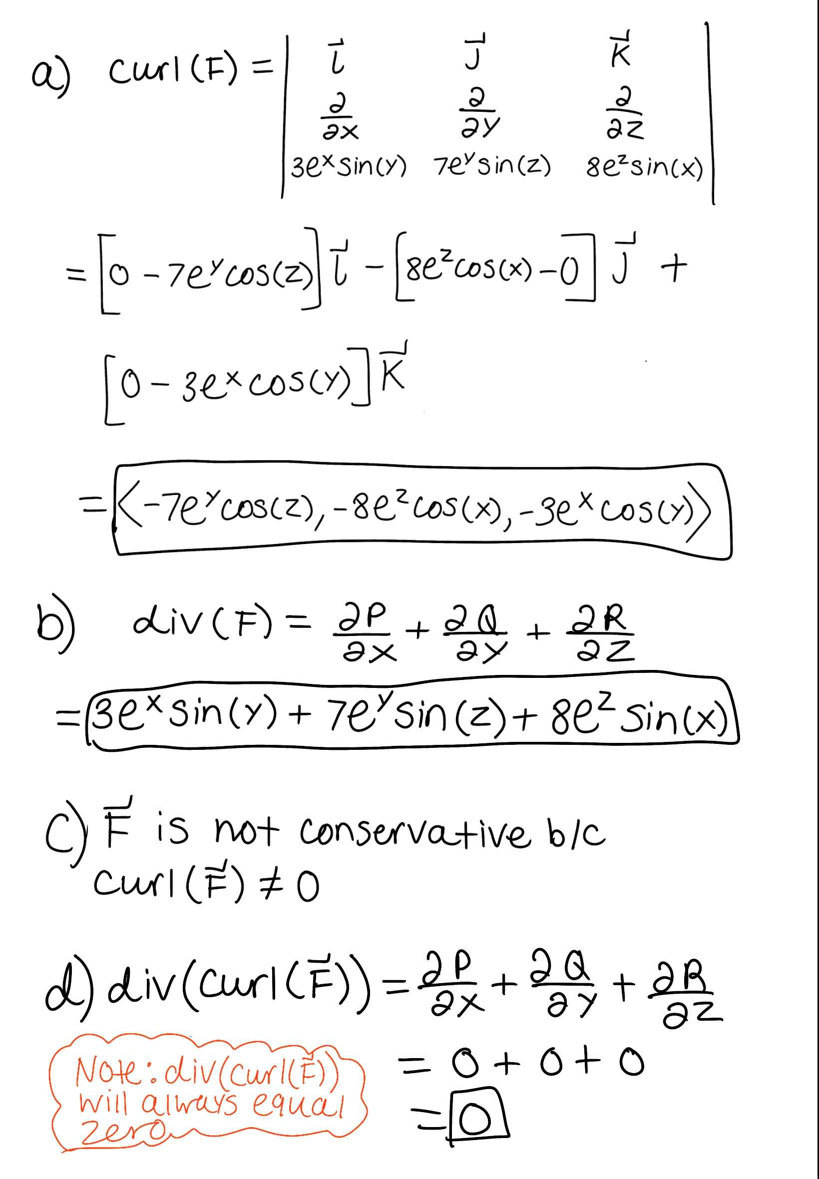
*question d should say โfind the divergence of the curl of Fโ




maybe for question d


maybe for question d