1/9
Looks like no tags are added yet.
Name | Mastery | Learn | Test | Matching | Spaced | Call with Kai |
|---|
No analytics yet
Send a link to your students to track their progress
Define Acceleration
Acceleration is the rate of change of velocity with respect to time
Unit: m s-2
Formula for Average Acceleration

Derive the formula v=u+at

Derive the formula s=ut+1/2 at2

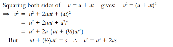
Derive the formula v2 = u2 + 2as

What is the area under a velocity time graph?
The area under a velocity time graph is the distance travelled
Measurement of Acceleration due to Gravity (g) using freefall method
Set up as shown
Measure the distance s from the bottom of the ball bearing to the top of the trapdoor
Flick the switch and record the time
repeat for different values of s
draw a graph of s over t2
gravity g will be 2(slope)

Graph for Freefall Experiment

Describe how the time interval t was measured
Electronic timer starts when the switch is flipped and ball drops
Timer stops when the ball hits the trapdoor
Why is a smooth metal sphere used?
To reduce air resistance
High density
Magnetic