1/29
Topics: Present Worth, Annual Worth, Internal Rate of Return, Payback and Multiple Alternatives, Comparing Alternatives, Unequal Lives
Name | Mastery | Learn | Test | Matching | Spaced | Call with Kai |
|---|
No analytics yet
Send a link to your students to track their progress
MARR (Minimum Attractive Rate of Return)
an interest rate used to represent the opportunity cost of investing in an engineering project
Study Period
life of the project; we will only take into account cash flows occurring within this time period to evaluate the investment potential of a project
Capital Investment
amount of money required to acquire the assets (equipment, facilities) required by the project and provide training for personnel responsible for the ongoing operation of the project
most often takes place all at once at time 0
Annual Revenues (cost savings)
cash inflows (or reduction of cash outflows) resulting from the project.
• Typically recur every year (may be constant, increasing, or decreasing).
Annual Operating expenses
ongoing cash outflows needed to support the project
• Typically recur every year (may be constant, increasing, or decreasing).
Periodic Expenses
don’t occur every year but cannot be ignored
• Periodic maintenance (roadway repaving, equipment overhauls)
Salvage (Market) value or Disposal cost
amount of money to be gained by selling assets at end of project (salvage value is a cash inflow) or needed to clean up site and dispose of unnecessary equipment (cash outflow)
• Occurs once at the end of the study period (N)
Present Worth (PW)
found by discounting all cash inflows and outflows to the present time at an interest rate that is generally the MARR.
Positive PW
the project is acceptable (it satisfies the MARR).
Commercial value of a bond
PW of all future net cash flows expected to be received—the period dividend [face value (Z) times the bond rate (r)], and the redemption price (C), all discounted to the present at the bond’s yield rate, i%
![<p>PW of all future net cash flows expected to be received—the period dividend [face value (Z) times the bond rate (r)], and the redemption price (C), all discounted to the present at the bond’s yield rate, i%</p>](https://assets.knowt.com/user-attachments/5a59c73d-26f1-4992-a386-c8667735741d.png)
Capitalized Worth
the present worth of all revenues or expenses over an infinite length of time.

What is CR?
Capital recovery is the annual equivalent cost of the capital invested and covers:
• Loss in value of the asset.
• Interest on invested capital (at the MARR).

How is annual worth related to present worth?
AW is the equivalent uniform series of the PW for the study period
Annual worth (AW)
an equal periodic series of dollar amounts that is equivalent to the cash inflows and outflows, at an interest rate that is generally the MARR.
annual equivalent revenue or savings minus annual
equivalent expenses, less its annual capital recovery (CR) amount

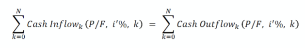
What is the definition of Internal Rate of Return?
The interest i% at which cash inflows = cash outflows
Sometimes referred to as the breakeven interest rate

What is one of the drawbacks of the IRR method?
It is computationally difficult without proper tools; You cannot directly compare internal rates of return when comparing two more mutually exclusive alternatives
IRR Decision Rule
If the IRR ≥ MARR, then the project is acceptable
“Guess and Check” method to find IRR
START –Obtain estimates of the project’s cash flows.
1. Construct the equivalence equation that sets PW = 0.
2. Select MARR as the “current guess.”
3. Compute PW using the current guess.
4. Evaluate resulting PW.
• If PW = 0, then IRR = current guess. Stop! You found it!
• If PW < 0, then IRR < current guess. Select a new interest rate < current guess.
• If PW > 0, then IRR > current guess Select a new interest rate > current guess.
5. Repeat steps 3 and 4 until you have determined an acceptable range for the IRR.
6. Use linear interpolation to approximate IRR. (Interpolation range MUST include IRR)
What is the difference between the simple payback period and the discounted payback period?
The discounted payback period considers the time value of money, whereas the simple payback period does not
What is the fundamental purpose of capital investment?
To earn at least the MARR on every dollar invested
Simple payback period (𝜃)
The number of years required for cash inflows to equal cash outflows. It is a measure of liquidity rather than a measure of profitability.

Discounted payback period (𝜃’)
Future cash flows are discounted back to the present

Problems with the payback period method
Doesn’t reflect any cash flows occurring after 𝜃 or 𝜃’
Doesn’t indicate anything about project desirability except the speed at which the initial investment is recovered
Selecting between multiple alternatives
For the equivalent worth measures of profitability (PW and AW), select the alternative that maximizes PW/AW
Why can’t we just pick the alternative with the highest IRR as the “best” alternative?
The alternative with the highest IRR isn’t necessarily giving you the most money; when comparing alternatives, you are looking to maximize PW/AW
Fundamental Rule of Capital Investment
The alternative that requires the minimum investment of capital and produces satisfactory functional results will be chosen unless the incremental capital associated with an alternative having a larger investment can be justified with respect to its incremental benefits.
What are the assumptions of the repeatability assumption (if study period ≠ useful alternative life)?
The study period is either indefinitely long or equal to a common multiple of the lives of the alternatives.
The economic consequences expected during the initial alternatives’ life spans will also happen in succeeding life spans (replacements).
Investment Alternatives
Those with initial (or front-end) capital investment that produce positive cash flows from increased revenue, savings through reduced costs, or both.
• For investment alternatives the PW (AW) of all cash flows must be positive, at the MARR, to be attractive. Select the alternative with the largest PW (AW).
Cost Alternatives
Those with all negative cash flows, except for a possible positive cash flow from disposal of assets at the end of the project’s useful life.
• For cost alternatives the PW of all cash flows will be negative. Select the alternative with the largest PW (AW). Note that this will be the one that is least negative.
Coterminated assumption (if study period ≠ useful alternative life)
Uses a finite and identical study period for all alternatives.
Cash flow adjustments may be made to satisfy alternative performance needs over the study period.