1/25
Looks like no tags are added yet.
Name | Mastery | Learn | Test | Matching | Spaced | Call with Kai |
|---|
No analytics yet
Send a link to your students to track their progress
ısı akısı

genel enerji denlemi

Düzlem yüzeylerde iletim

Düzlem yüzeyler taşınım

Azot sorusu

Düzlem ışınım

Düzlem yüzeylerde sıcaklık dağılımı formülü

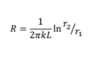
Silindirik iletim formülü ( R )

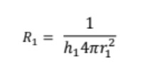
Silindirik taşınım R

Silindirik sıcaklık dağılımı

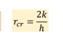
Silindirik kritik yarıçap

Küresel kritik yarıçap

Farklı cisimlerde ısı geçişi formülü

Küresel iletim R

Küresel taşınım

Küresel ısı dağılımı

Gömülü tek çubuk S

Toprağa gömülü iki çubuk S

Bar içine yerleştirilmiş lpg tankı S

Toprak altında küre S

İzolasyon malzemesi ile kaplanmış boru S

Toprağa dik yüzeye sıfır çubuk S

Kısa kanatçık Isı Geçişi ve sıcaklık dağılımı

Uzun kanatçık Isı geçişi ve Sıcaklık Dağılımı

Ucu yalıtılmış adyobatik Isı geçişi Sıcaklık Dağılımı

Verilen sabit kanatçık Isı geçişi Sıcaklık dağılımı
