1/31
This is for both semesters of Calc AB. You have to memorize it, okay? I believe in you.
Name | Mastery | Learn | Test | Matching | Spaced | Call with Kai |
|---|
No analytics yet
Send a link to your students to track their progress
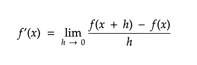
How to find a derivative using limits

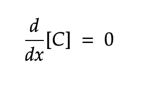
Derivative of a constant (constant rule)

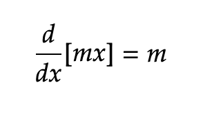
Derivative of a linear function (mx)

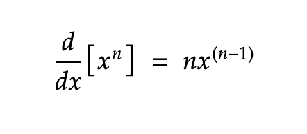
Derivative of xn (power rule)

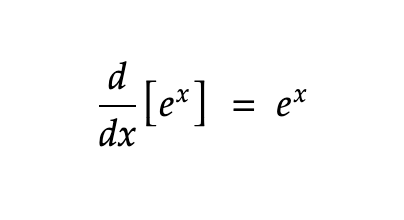
Derivative of ex

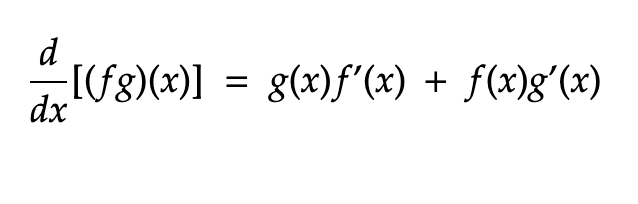
Derivative of a product (product rule)

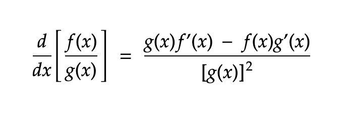
Derivative of a quotient (quotient rule)

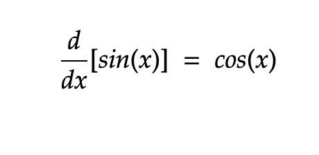
Derivative of sin(x)

Derivative of cos(x)

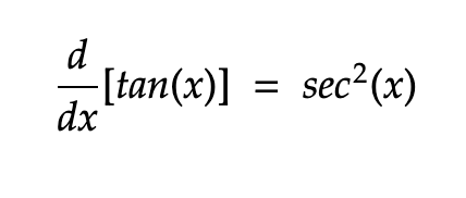
Derivative of tan(x)

Derivative of csc(x)

Derivative of sec(x)

Derivative of cot(x)

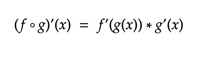
Chain rule

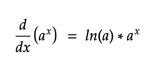
Derivative of ax

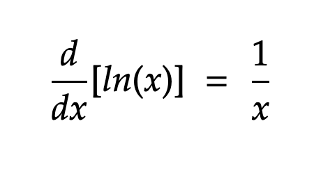
Derivative of ln(x)

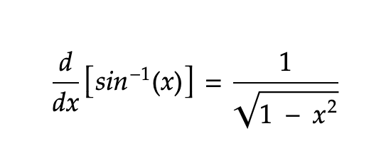
Derivative of [sin-1(x)]

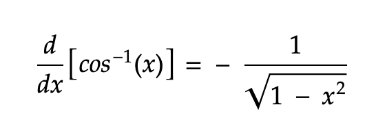
Derivative of [cos-1(x)]

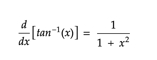
Derivative of [tan-1(x)]

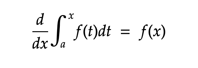
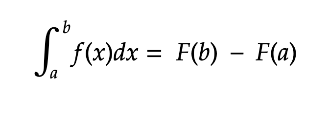
First Fundamental Theorem of Calculus

Second Fundamental Theorem of Calculus

Antiderivative of a𝙙𝙭

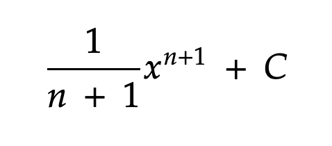
Antiderivative of xⁿ𝙙𝙭 (x ≠ -1)

Antiderivative of eˣ𝙙𝙭

Antiderivative of x⁻¹𝙙𝙭

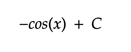
Antiderivative of sin(x)𝙙𝙭

Antiderivative of cos(x)𝙙𝙭

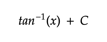
Antiderivative of [1/(x² + 1)]𝙙𝙭

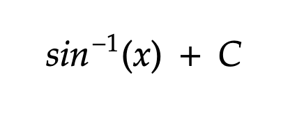
Antiderivative of [1/(√(1 - x²)]𝙙𝙭

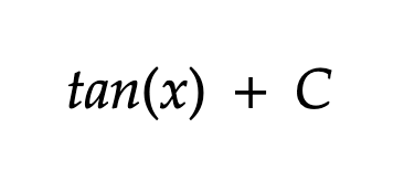
Antiderivative of sec²(x)𝙙𝙭

Antiderivative of sec(x)tan(x)𝙙𝙭

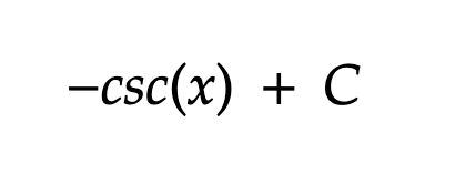
Antiderivative of csc(x)cot(x)𝙙𝙭
