Calculus Flashcards

5.0(2)
Studied by 7 people
call kaiCall Kai
learnLearn
examPractice Test
spaced repetitionSpaced Repetition
heart puzzleMatch
flashcardsFlashcards
GameKnowt Play
Card Sorting

1/71

encourage image

There's no tags or description

Looks like no tags are added yet.

Last updated 7:22 AM on 2/28/25
Name
Mastery
Learn
Test
Matching
Spaced
Call with Kai

No analytics yet

Send a link to your students to track their progress

72 Terms

1
New cards
<p></p>

knowt flashcard image
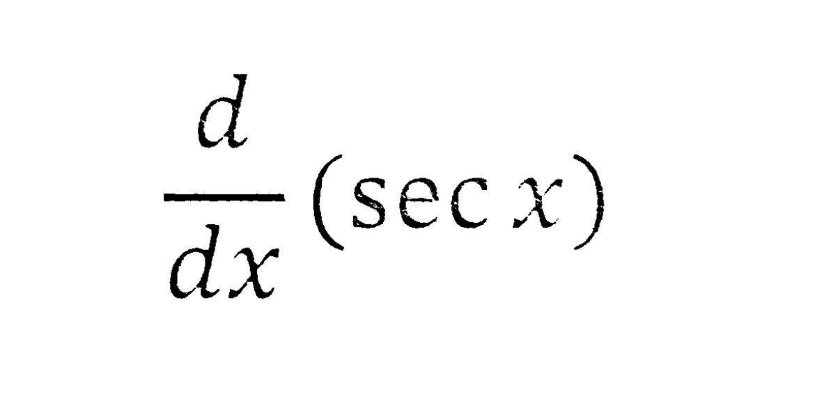
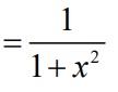
2
New cards
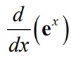
term image
knowt flashcard image
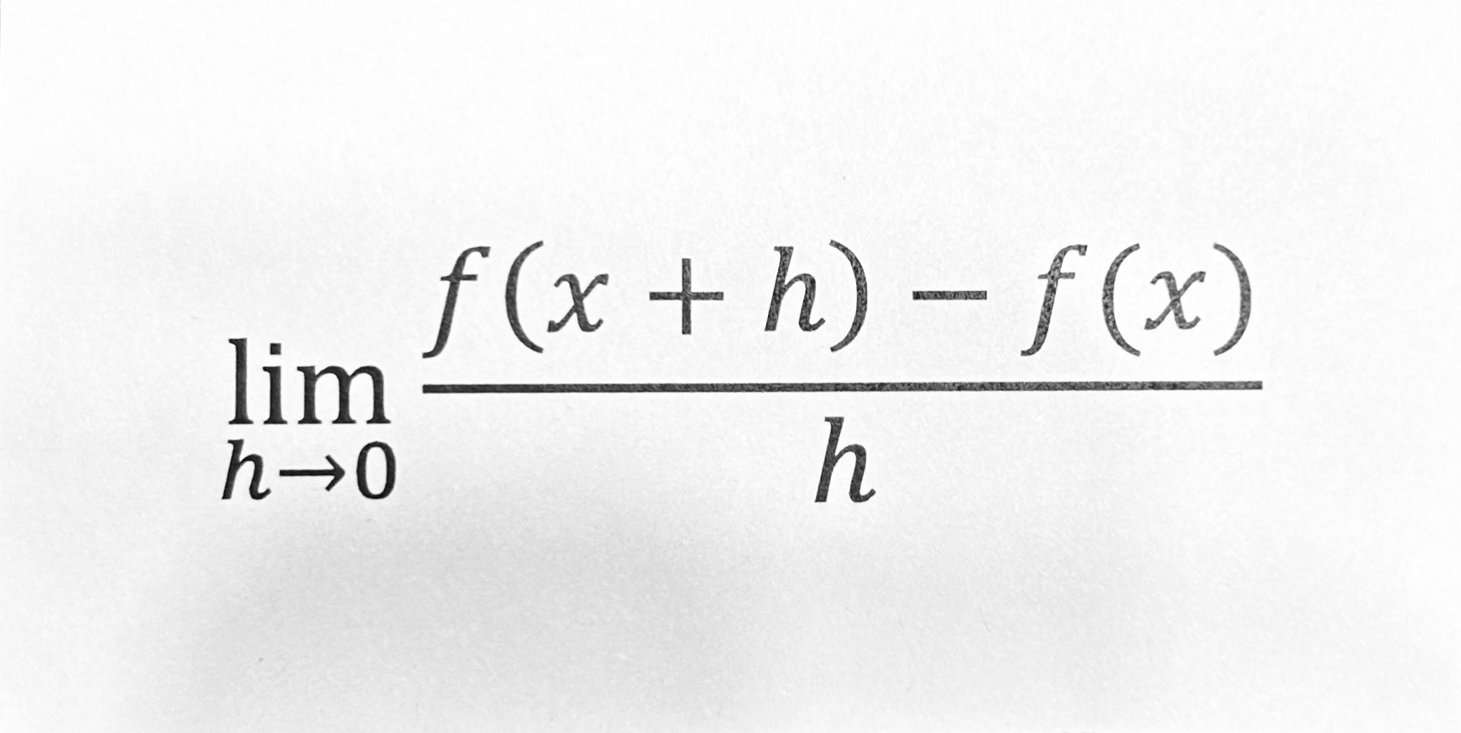
3
New cards
<p></p>

knowt flashcard image
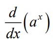
4
New cards
term image
knowt flashcard image
5
New cards
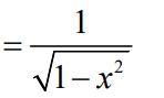
term image
knowt flashcard image
6
New cards
term image
knowt flashcard image
7
New cards
term image
knowt flashcard image
8
New cards
term image
knowt flashcard image
9
New cards
term image
knowt flashcard image
10
New cards
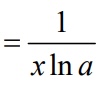
term image
knowt flashcard image
11
New cards
term image
knowt flashcard image
12
New cards
term image
knowt flashcard image
13
New cards
term image
knowt flashcard image
14
New cards
term image
knowt flashcard image
15
New cards
term image
knowt flashcard image
16
New cards
term image
knowt flashcard image
17
New cards
term image
knowt flashcard image
18
New cards
term image
knowt flashcard image
19
New cards
term image
knowt flashcard image
20
New cards
term image
knowt flashcard image
21
New cards
term image
knowt flashcard image
22
New cards
term image
knowt flashcard image
23
New cards
term image
knowt flashcard image
24
New cards
term image
knowt flashcard image
25
New cards
term image
knowt flashcard image
26
New cards
term image
knowt flashcard image
27
New cards
term image
knowt flashcard image
28
New cards
term image
knowt flashcard image
29
New cards
term image
knowt flashcard image
30
New cards
term image
knowt flashcard image
31
New cards
term image
knowt flashcard image
32
New cards
term image
knowt flashcard image
33
New cards
term image
knowt flashcard image
34
New cards
term image
knowt flashcard image
35
New cards
term image
knowt flashcard image
36
New cards
term image
knowt flashcard image
37
New cards
term image
knowt flashcard image
38
New cards
term image
knowt flashcard image
39
New cards
term image
knowt flashcard image
40
New cards
term image
knowt flashcard image
41
New cards
term image
knowt flashcard image
42
New cards
term image
knowt flashcard image
43
New cards
term image
knowt flashcard image
44
New cards
term image
knowt flashcard image
45
New cards
term image
knowt flashcard image
46
New cards
term image
knowt flashcard image
47
New cards
term image
knowt flashcard image
48
New cards
term image
knowt flashcard image
49
New cards
term image
knowt flashcard image
50
New cards
term image
knowt flashcard image
51
New cards
term image
knowt flashcard image
52
New cards
term image
knowt flashcard image
53
New cards
term image
knowt flashcard image
54
New cards
term image
knowt flashcard image
55
New cards
term image
knowt flashcard image
56
New cards
term image
knowt flashcard image
57
New cards
term image
knowt flashcard image
58
New cards
term image
knowt flashcard image
59
New cards
term image
knowt flashcard image
60
New cards
term image
knowt flashcard image
61
New cards
term image
knowt flashcard image
62
New cards
term image
knowt flashcard image
63
New cards
term image
knowt flashcard image
64
New cards
term image
knowt flashcard image
65
New cards
term image
knowt flashcard image
66
New cards
term image
knowt flashcard image
67
New cards
term image
knowt flashcard image
68
New cards
term image
knowt flashcard image
69
New cards
term image
knowt flashcard image
70
New cards
term image
knowt flashcard image
71
New cards
term image
knowt flashcard image
72
New cards
term image
knowt flashcard image

Explore top notes

note
The Circle and Some Related Terms
Updated 1270d ago
0.0(0)
note
New World 4 - Unit 3 Vocabulary
Updated 336d ago
0.0(0)
note
Ap Lang: How to score a 5
Updated 686d ago
0.0(0)
note
CHAPTER 5 SKIN ANALYSIS
Updated 476d ago
0.0(0)
note
Saponification
Updated 1353d ago
0.0(0)
note
The Circle and Some Related Terms
Updated 1270d ago
0.0(0)
note
New World 4 - Unit 3 Vocabulary
Updated 336d ago
0.0(0)
note
Ap Lang: How to score a 5
Updated 686d ago
0.0(0)
note
CHAPTER 5 SKIN ANALYSIS
Updated 476d ago
0.0(0)
note
Saponification
Updated 1353d ago
0.0(0)

Explore top flashcards

flashcards
Chapter 6-Tissues
24
Updated 1139d ago
0.0(0)
flashcards
B3 - Infection and response
44
Updated 1058d ago
0.0(0)
flashcards
Sociology AQA - Education
109
Updated 1248d ago
0.0(0)
flashcards
bio lipids quiz
33
Updated 1112d ago
0.0(0)
flashcards
Arson/Mystery Unit List #2
20
Updated 663d ago
0.0(0)
flashcards
abeka health 9 section 5.2
59
Updated 1100d ago
0.0(0)
flashcards
Chapter 6-Tissues
24
Updated 1139d ago
0.0(0)
flashcards
B3 - Infection and response
44
Updated 1058d ago
0.0(0)
flashcards
Sociology AQA - Education
109
Updated 1248d ago
0.0(0)
flashcards
bio lipids quiz
33
Updated 1112d ago
0.0(0)
flashcards
Arson/Mystery Unit List #2
20
Updated 663d ago
0.0(0)
flashcards
abeka health 9 section 5.2
59
Updated 1100d ago
0.0(0)