1/15
Name | Mastery | Learn | Test | Matching | Spaced | Call with Kai |
|---|
No analytics yet
Send a link to your students to track their progress
What does momentum depend on? (2)
Mass of an object
velocity
The equation for momentum?
Momentum = mass x velocity
Unit for momentum
kg m/s

State their momentums
Orange = 10 kg m/s
Green = 10 kg m/s
Newton’s second law
The resultant force acting on an object is proportional to the rate of change of momentum p=mv of the object.
What car safety features increase the time it takes to stop a passenger in a collision? (2)
Crumple Zones
Air bags
State the law of conservation of momentum
the total momentum before and after an interaction are equal, provided that no external forces are acting on the objects
What happens in an elastic collision?
The total kinetic energy before and after the collision would be equal
What happens in an inelastic collision?
Kinetic energy is lost, and transferred into other energy like heat
What happens to momentum in an explosion?
Must be 0kg m/s before and after
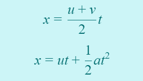
State the further motion concept equation (2)
x =

State the further motion concept equation
v =
v = u + at
State the further motion concept equation
v2 =
v2 = u2 + 2ax
State the definition of moment
A moment is a turning force
Unit for moment
Nm
State the principal of moments
When an object is balanced, the sum of the clockwise moments is equal to the sum of the anticlockwise moments