1/17
Got a final comin up so im creating this to review inshallah i get a 100 - fasih
Name | Mastery | Learn | Test | Matching | Spaced | Call with Kai |
|---|
No analytics yet
Send a link to your students to track their progress

Structure - CHO
Carbonyl at end of chain
Functional group: Aldehyde
Polar? Yes

Structure: R–OH
Functional group: Alcohol
Key feature: –OH bonded to carbon
IMF: Hydrogen bonding
Polar? Yes
Common trap: Don’t confuse with phenol (aromatic –OH)

Structure: R–O–R
single bonded oxygen to carbons
Functional group: Ether

Structure: R–CO–R
Oxygen double bonded with carbon
Functional group: Ketone
Polar? Yes
No hydrogen on carbonyl carbon
Trap: Don’t confuse with aldehyde

Structure: –COOH
Functional group: Carboxylic acid
Very polar
Strong H-bonding
Acidic proton present
Trap: Has BOTH C=O and –OH

Structure: –COO–
Functional group: Ester
Common in fragrances/fats
Trap: Looks like acid but no –OH

Structure: –NH₂ / –NHR / –NR₂
Functional group: Amine
Basic (lone pair on N)
Can H-bond (if N–H present)
Polar
Trap: Don’t confuse with amide

Structure: –CONH₂
Functional group: Amide
Carbonyl + nitrogen
Very polar
Strong H-bonding

Structure: R–Cl / R–Br / R–I / R–F
Functional group: Alkyl halide
Polar bond
No H-bonding

Identify the organic compound
Alkane

Identify the organic compound
Alkene ( double bond)

Identify the organic compound
Alkyne ( triple bond)

Identify the organic compound
Alkyl halide

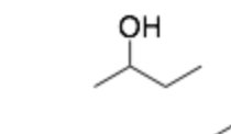
Identify the organic compound R-OH
Alcohol

Identify the organic compound R-O-R
Ether

Identify the organic compound R-CO-R
ketone

Identify the organic compound CHO
Aldehyde

Identify the organic compound
Carboxylic acid