NAD, NADH, ATP, ADP, AMP, FAD, FADH2, FMN, TPP, hydroxyethylTPP, Lipoamide (oxidized and reduced), acetyl-lipoamide, Coenzyme A, acetyl-CoA, Coenzyme Q (oxidized and reduced).

0.0(0)
Studied by 1 person
call kaiCall Kai
learnLearn
examPractice Test
spaced repetitionSpaced Repetition
heart puzzleMatch
flashcardsFlashcards
GameKnowt Play
Card Sorting

1/6

encourage image

There's no tags or description

Looks like no tags are added yet.

Last updated 6:52 AM on 11/18/24
Name
Mastery
Learn
Test
Matching
Spaced
Call with Kai

No analytics yet

Send a link to your students to track their progress

7 Terms

1
New cards

NAD

knowt flashcard image
2
New cards

ATP

knowt flashcard image
3
New cards

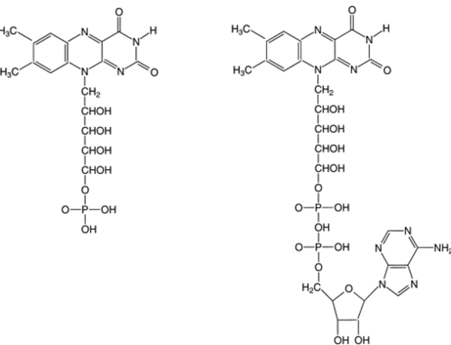
FMN on left
FAD on right

knowt flashcard image
4
New cards

TPP

knowt flashcard image
5
New cards

Lipoamide

knowt flashcard image
6
New cards

CoA

knowt flashcard image
7
New cards

CoQ

knowt flashcard image

Explore top flashcards

flashcards
Fahrenheit 451 Vocabulary
40
Updated 1091d ago
0.0(0)
flashcards
AP Psychology Unit 1
76
Updated 1200d ago
0.0(0)
flashcards
PPT#5 Northern Renaissance
36
Updated 208d ago
0.0(0)
flashcards
AP Euro Crash Course Terms
105
Updated 687d ago
0.0(0)
flashcards
25-26 - E2 U1 | Quizlet
30
Updated 215d ago
0.0(0)
flashcards
PDII E3: Chest Pain
66
Updated 482d ago
0.0(0)
flashcards
Fahrenheit 451 Vocabulary
40
Updated 1091d ago
0.0(0)
flashcards
AP Psychology Unit 1
76
Updated 1200d ago
0.0(0)
flashcards
PPT#5 Northern Renaissance
36
Updated 208d ago
0.0(0)
flashcards
AP Euro Crash Course Terms
105
Updated 687d ago
0.0(0)
flashcards
25-26 - E2 U1 | Quizlet
30
Updated 215d ago
0.0(0)
flashcards
PDII E3: Chest Pain
66
Updated 482d ago
0.0(0)