1/9
Looks like no tags are added yet.
Name | Mastery | Learn | Test | Matching | Spaced |
|---|
No study sessions yet.
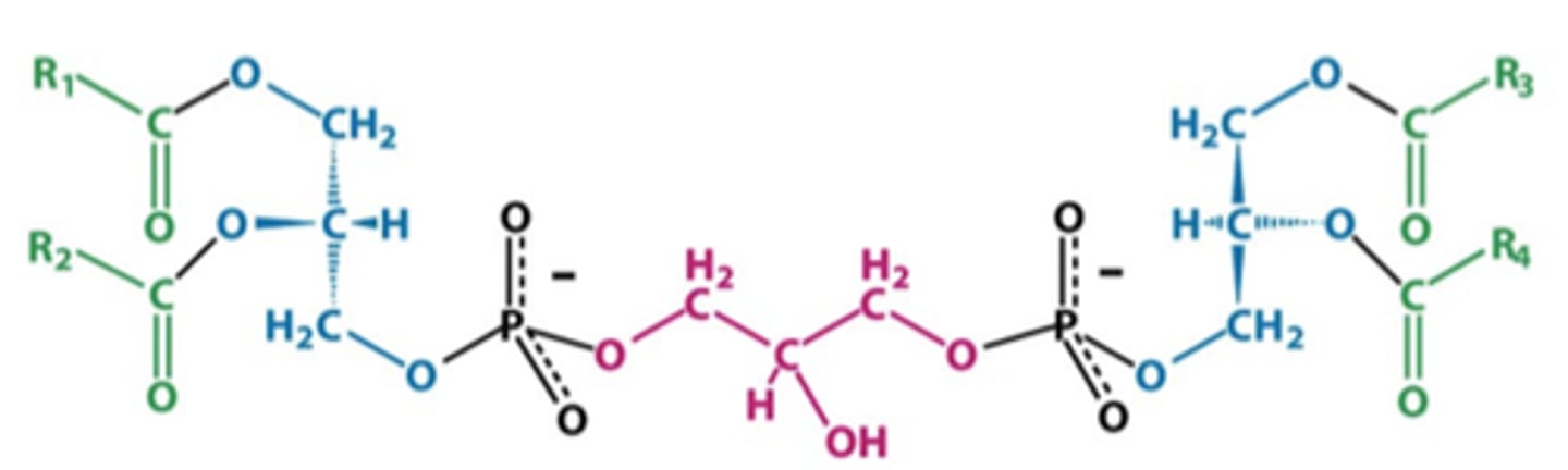
Phosphatidylcholine (lecithin)
glycerophospholipid

Phosphatidylethanolamine
glycerophospholipid

Phosphatidylserine
glycerophospholipid

Diphosphatidylglycerol (Cardiolipin)
glycerophospholipid

Phosphatidylglycerol
glycerophospholipid

Sphingosine
18 carbon amino alcohol with trans double bond; base unit of sphingolipids

Ceramide
sphingolipid (H substituent on C3 ether)

Cerebroside
sphingolipid (monosaccharide linked to C3 ether with beta glycosidic bond)

Phosphatidylinositol

Sphingomyelin
+Phosphoethanolamine group
