Wzory koenzymy

0.0(0)
studied byStudied by 6 people
call kaiCall Kai
learnLearn
examPractice Test
spaced repetitionSpaced Repetition
heart puzzleMatch
flashcardsFlashcards
GameKnowt Play
Card Sorting

1/45

flashcard set

Earn XP

Description and Tags

biochemia

Last updated 1:00 PM on 4/4/23
Name
Mastery
Learn
Test
Matching
Spaced
Call with Kai

No analytics yet

Send a link to your students to track their progress

46 Terms

1
New cards
Podaj nazwę
Podaj nazwę
Koenzym A
2
New cards
Podaj nazwę
Podaj nazwę
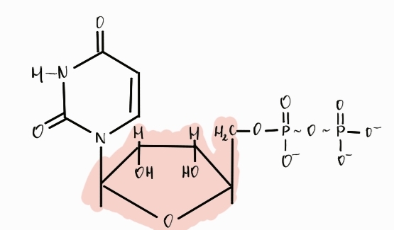
urydynodifosforan (UDP)
3
New cards
Podaj nazwę
Podaj nazwę
Biotyna
4
New cards
podaj nazwę
podaj nazwę
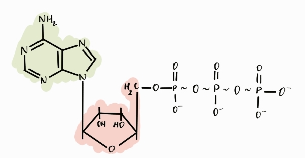
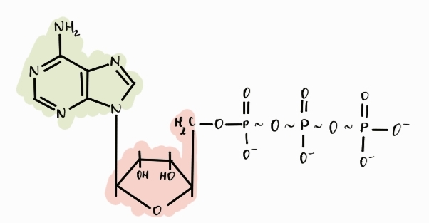
adenozyno trifosforan (ATP)
5
New cards
podaj nazwę
podaj nazwę
Fosforan pirydoksalu
6
New cards
podaj nazwę
podaj nazwę
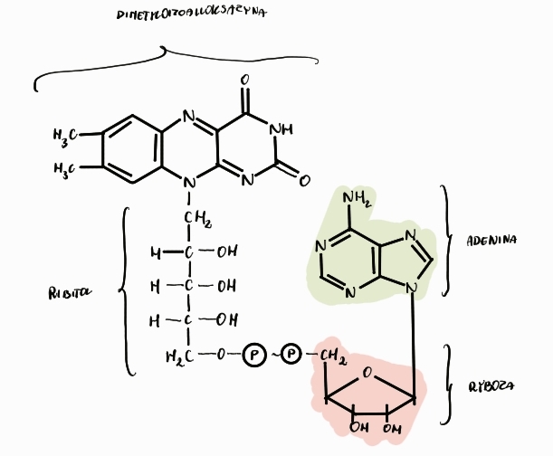
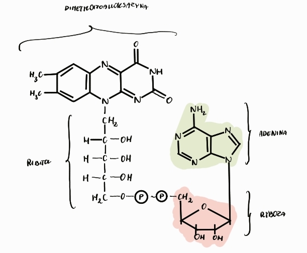
flawinomononukleotyd (FMN)
7
New cards
podaj nazwę
podaj nazwę
Dinukleotyd flawinoadeninowy (FAD)
8
New cards
podaj nazwę
podaj nazwę
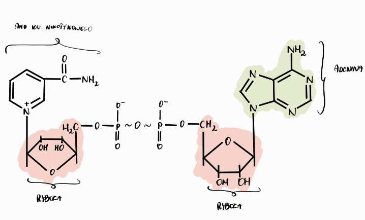
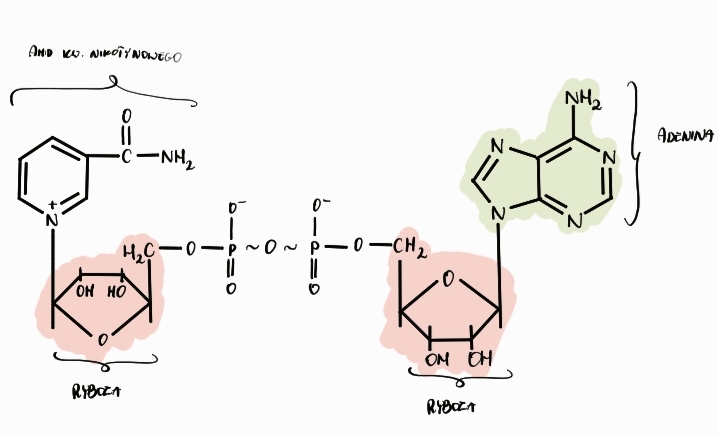
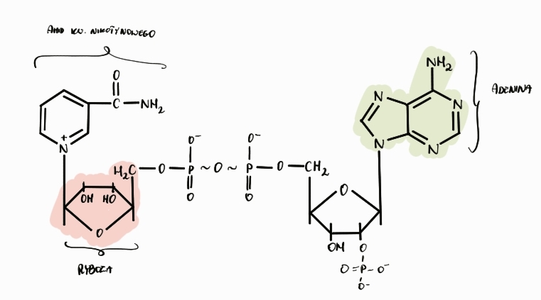
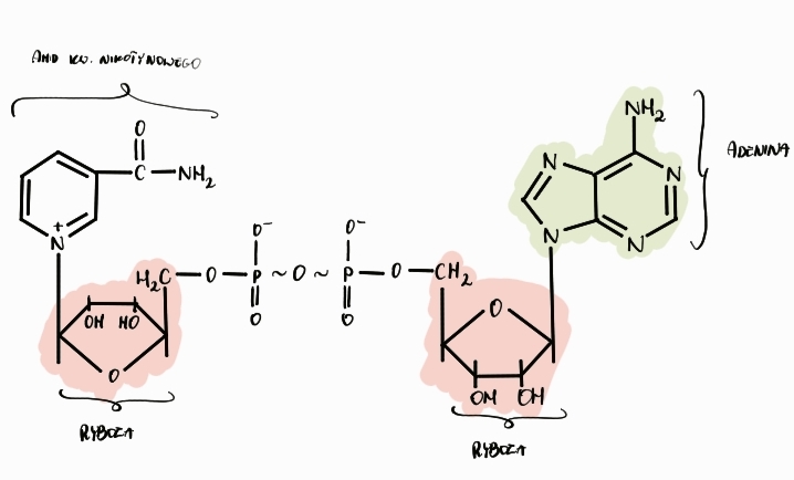
dinukleotyd nikotynamidoadeninowy (NAD+)
9
New cards
Podaj nazwę
Podaj nazwę
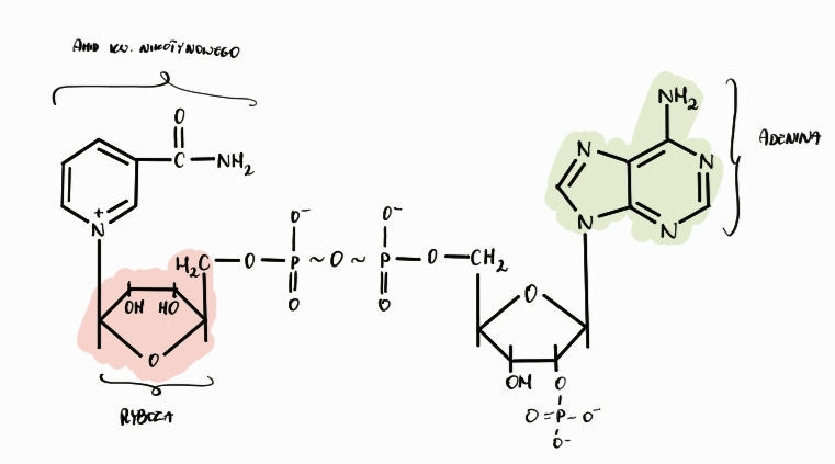
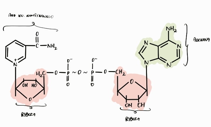
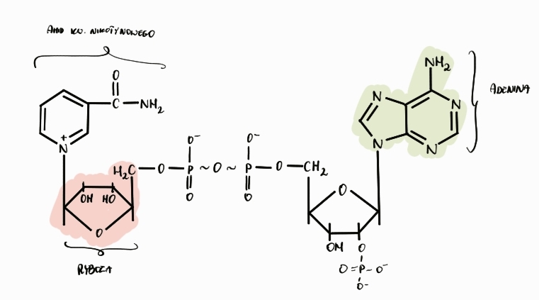
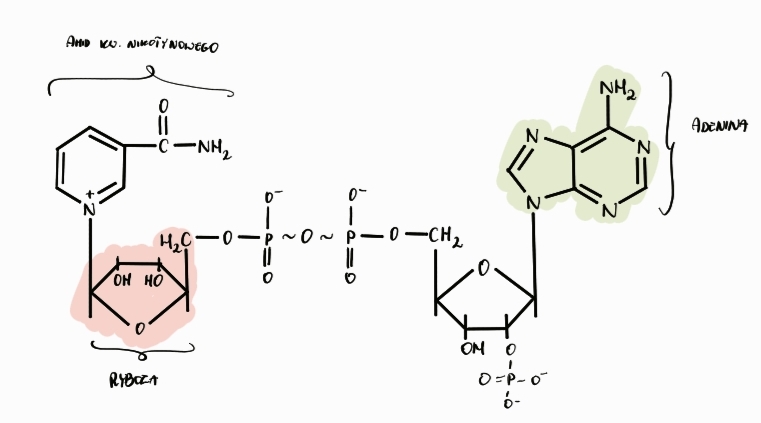
fosforan dinukleotydu nikotynamidoadeninowego (NADP+)
10
New cards
Co przenosi
Co przenosi
gr. atomów
11
New cards
Co przenosi
Co przenosi
gr. atomów
12
New cards
Co przenosi
Co przenosi
wodór
13
New cards
Co przenosi
Co przenosi
wodór
14
New cards
Co przenosi
Co przenosi
gr. atomów
15
New cards
Co przenosi
Co przenosi
gr. atomów
16
New cards
Co przenosi
Co przenosi
Wodór
17
New cards
Co przenosi
Co przenosi
wodór
18
New cards
Co przenosi
Co przenosi
gr. atomów
19
New cards
jaka  reakcja
jaka reakcja
przemiany oksydoredukcyjne ( aa > ketokw. , nas kw.tł> nienas )
20
New cards
jaka  reakcja
jaka reakcja
przenoszenie reszt acylowych

aktywacja kw. tł

odksydacyjnej dekarboksylacji 2-oksokwasów

acylo - betadesydacj

acetylo- cykl krebsa
21
New cards
jaka  reakcja
jaka reakcja
transaminacja

dekorboksylacja
22
New cards
jaka  reakcja
jaka reakcja
biosynteza kw. tł

transkarboksylacja

dekarboksykacja

karboksylacja kw. pirogronowego do szczawiooctowego
23
New cards
jaka  reakcja
jaka reakcja
reakcje przenoszenie
24
New cards
jaka  reakcja
jaka reakcja
cykl krebsa

łańcuch oddechowy
25
New cards
jaka reakcja
jaka reakcja
przemiany oksydoredukcyjne ( aa > ketokw. , nas kw.tł> nienas )
26
New cards
jaka witamina
jaka witamina
wit. PP
27
New cards
jaka witamina
jaka witamina
wit. PP
28
New cards
jaka witamina
jaka witamina
wit.B2
29
New cards
jaka witamina
jaka witamina
wit. B2
30
New cards
jaka witamina
jaka witamina
wit. B6
31
New cards
jaka witamina
jaka witamina
wit. H
32
New cards
jaka witamina
jaka witamina
wit. B5
33
New cards
niedobór
niedobór
bóle głowy, brzucha, zmęczenie, osłabienie, biegunka, drgawki, obniżona odporność na infekcje, zmiane skórne, sierści i piór, degeneracja ukł. nerwowego, owrzodzenia ukł. pokarmowego
34
New cards
niedobór
niedobór
"Syndrom białka jaja"- depresja, apatia, nadwrażliwość
35
New cards
niedobór
niedobór
stany zapalne skóry, podrażnienia bł. śluzowej jamy ustnej, apatie, bezsenność
36
New cards
niedobór
niedobór
zmiany chorobowe w jamie ustnej, zapalenie rogówki, zamglenie soczewki
zmiany chorobowe w jamie ustnej, zapalenie rogówki, zamglenie soczewki
37
New cards
niedobór
niedobór
zaburzenia glikolizy, łańcucha oddechowego i cyklu krebsa

pelagra, zaburzenia czynnościowe, przewodu pokarmowego i nerwowego
zaburzenia glikolizy, łańcucha oddechowego i cyklu krebsa

pelagra, zaburzenia czynnościowe, przewodu pokarmowego i nerwowego
38
New cards
Jaka klasa
Jaka klasa
oksydoreduletaza (1)
39
New cards
Jaka klasa
Jaka klasa
oksydoreduktaza (1)
40
New cards
Jaka klasa
Jaka klasa
oksydoreduletaza (1)
41
New cards
Jaka klasa
Jaka klasa
oksydoreduletaza (1)
42
New cards
Jaka klasa
Jaka klasa
transferaza (2)
43
New cards
Jaka klasa
Jaka klasa
transferaza (2)
44
New cards
jaka klasa
jaka klasa
transferaza (2)
45
New cards
jaka klasa
jaka klasa
transferaza (2)
46
New cards
jaka klasa
jaka klasa
transferaza(2)