1/37
Looks like no tags are added yet.
Name | Mastery | Learn | Test | Matching | Spaced | Call with Kai |
|---|
No analytics yet
Send a link to your students to track their progress
i/1 =
-i
i-1
-i
i =
sqrt( -1 )
i²
1
2 distinct pos real eigen val
Nodal source

1 pos 1 neg real eigen val
saddle

2 neg real eigen val
nodal sink

0 and pos real neg val

0 and neg real neg val

pos real + imaginary val
spiral out

neg real + imaginary val
spiral in

only imaginary num
circle

diagonal pos = eigenval
unstable proper node

diagonal neg = eigenval
stable star node

= pos vals
unstable improper node

= neg vals
stable improper node

















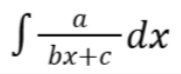
L{1}
1/s
L{t}
1/s2
L{t²}
2/s3
L{tn}
n!/sn+1
L{eat}
1/s-a
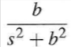
L{sin(bt)}

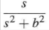
L{cos(bt)}

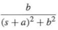
L{e-atsin(bt)}

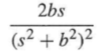
L{tsin(bt)}

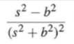
L{tcos(bt)}








