CMSC420 Summations

0.0(0)
Studied by 0 people
call kaiCall Kai
learnLearn
examPractice Test
spaced repetitionSpaced Repetition
heart puzzleMatch
flashcardsFlashcards
GameKnowt Play
Card Sorting

1/5

encourage image

There's no tags or description

Looks like no tags are added yet.

Last updated 4:07 AM on 2/9/26
Name
Mastery
Learn
Test
Matching
Spaced
Call with Kai

No analytics yet

Send a link to your students to track their progress

6 Terms

1
New cards
<p></p>

n

2
New cards
term image
knowt flashcard image
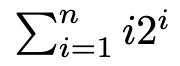
3
New cards
term image
knowt flashcard image
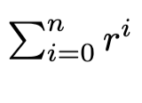
4
New cards
term image
knowt flashcard image
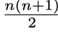
5
New cards
term image
knowt flashcard image
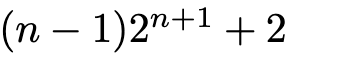
6
New cards
term image
knowt flashcard image

Explore top flashcards

flashcards
Cô Yến 5/12/2024
22
Updated 480d ago
0.0(0)
flashcards
EXAM 2 - part 6
22
Updated 250d ago
0.0(0)
flashcards
Einheit 1 Freunde
75
Updated 229d ago
0.0(0)
flashcards
Biology Honors Evolution
51
Updated 1096d ago
0.0(0)
flashcards
Matiekos egzas
73
Updated 819d ago
0.0(0)
flashcards
Livy 2.10 Vocab
20
Updated 1215d ago
0.0(0)
flashcards
Cô Yến 5/12/2024
22
Updated 480d ago
0.0(0)
flashcards
EXAM 2 - part 6
22
Updated 250d ago
0.0(0)
flashcards
Einheit 1 Freunde
75
Updated 229d ago
0.0(0)
flashcards
Biology Honors Evolution
51
Updated 1096d ago
0.0(0)
flashcards
Matiekos egzas
73
Updated 819d ago
0.0(0)
flashcards
Livy 2.10 Vocab
20
Updated 1215d ago
0.0(0)