1/29
Looks like no tags are added yet.
Name | Mastery | Learn | Test | Matching | Spaced | Call with Kai |
|---|
No analytics yet
Send a link to your students to track their progress
[Right Hand Rules]

[MAGNETIC FLUX DENSITY] (T)

[MAGNETIC FORCE] (N)

![<p>[EXAMPLE 1] (point charge magnetic force)</p>](https://knowt-user-attachments.s3.amazonaws.com/99785be8-4b34-4766-8979-cf3959a0a819.png)
[EXAMPLE 1] (point charge magnetic force)

[MAGNETIC FORCE ON A CURRENT CARRYING CONDUCTOR] (N)

[MAGNETIC TORQUE ON A CURRENT CARRYING CONDUCTOR] (N-m)

[BIOT SAVART] (A/m)

![<p>[EXAMPLE 2] (Ring of Charge) (Half)</p>](https://knowt-user-attachments.s3.amazonaws.com/a5fe0ebb-780b-46c3-8dde-83d91f907d5f.png)
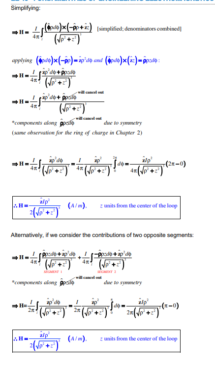
[EXAMPLE 2] (Ring of Charge) (Half)

![<p>[EXAMPLE 2] (Ring of Charge) (Full)</p>](https://knowt-user-attachments.s3.amazonaws.com/857b2a76-b448-4c49-abcf-519ba3344def.png)
[EXAMPLE 2] (Ring of Charge) (Full)

[CURRENT DENSITY] (A/m²)

[GAUSS’ LAW FOR MAGNETISM] = 0

[AMPERE’S LAW] (A)

[EXAMPLE] (Vector magnetic field intensity on a infinitely long wire)

[VECTOR MAGNETIC POTENTIAL] (Wb/m)

![<p>[EXAMPLE 3] bridged problem to get current density from vector magnetic potential</p>](https://knowt-user-attachments.s3.amazonaws.com/c7d1e0cc-6de2-481a-b33f-ab61fdc82dbb.png)
[EXAMPLE 3] bridged problem to get current density from vector magnetic potential

[MAGNETIC FLUX] (Wb/m²)

![<p>[EXAMPLE 4] (Magnetic flux through a cylindrical surface)</p>](https://knowt-user-attachments.s3.amazonaws.com/165f3afe-32ba-458d-a7e9-807b1019fa1a.png)
[EXAMPLE 4] (Magnetic flux through a cylindrical surface)

![<p>[EXAMPLE 5] (Magnetic Flux through a rectangular loop)</p>](https://knowt-user-attachments.s3.amazonaws.com/57709ef7-f61e-4d70-a310-e2ecf6f40441.png)
[EXAMPLE 5] (Magnetic Flux through a rectangular loop)

[INDUCTANCE] (Wb/m²)

[SELF INDUCTANCE] (H)

[SELF INDUCTANCE] (of a solenoid)

[INDUCTANCE PER UNIT LENGTH OF A COAXIAL LINE]

[INDUCTANCE NOT PER UNIT LENGTH OF A COAXIAL LINE]

[MUTUAL INDUCTANCE]

[MUTUAL INDUCTANCE] (if loop consists of N turns)

[MUTUAL INDUCTANCE] (if with magnetic coupling)

[MAGNETIC ENERGY] (J)

[MAGNETIC ENERGY] (for a solenoid)

[MAGNETIC ENERGY] (General Figures)

![<p>[EXAMPLE 6] (magnetic energy stored in a coaxial transmission line)</p>](https://knowt-user-attachments.s3.amazonaws.com/45c7dda3-7dde-413d-a617-71d35157b2d6.png)
[EXAMPLE 6] (magnetic energy stored in a coaxial transmission line)
