1.6 Series

0.0(0)
Studied by 3 people
call kaiCall Kai
learnLearn
examPractice Test
spaced repetitionSpaced Repetition
heart puzzleMatch
flashcardsFlashcards
GameKnowt Play
Card Sorting

1/19

flashcard set

Earn XP

Description and Tags

[ PURE 1 ] 1) Arithmetic Sequence 2) Geometric Sequence 3) Sum to Infinity

Last updated 11:34 AM on 10/9/25
Name
Mastery
Learn
Test
Matching
Spaced
Call with Kai

No analytics yet

Send a link to your students to track their progress

20 Terms

1
New cards
What is an Arithmetic Sequence/Progression
Any sequence with a common difference (d) + or --
2
New cards
What is a Geometric Sequence/Progression
Any sequence with a common ratio (r) \* or ÷
3
New cards
What is “a”
First term
4
New cards
What is “T1”
What is “T1”
a (First term)
5
New cards
What is “n”
What is “n”
n = no of term
6
New cards
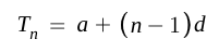
What is the formula of Tn (nth term/last term) in an AP
What is the formula of Tn (nth term/last term) in an AP
knowt flashcard image
7
New cards
Write the formula (AP)
Write the formula (AP)
knowt flashcard image
8
New cards
What is the first step in solving an AP question
Convert any and every term into “a”, first term, and “d”, common difference
9
New cards
What is the formula of n (AP)
knowt flashcard image
10
New cards
What is Sn
What is Sn
Sum of n terms
11
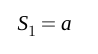
New cards
What is S1
What is S1
T1 = a = first term
T1 = a = first term
12
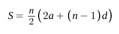
New cards
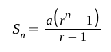
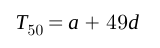
What is the formula of Sn in an AP
What is the formula of Sn in an AP
knowt flashcard image
13
New cards
What is the formula
What is the formula
knowt flashcard image
14
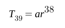
New cards
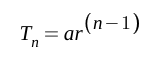
What is the formula of Tn in an GP
What is the formula of Tn in an GP
knowt flashcard image
15
New cards
Write the formula
Write the formula
knowt flashcard image
16
New cards
What is the first step in solving a GP question
Convert any and every term into “a”, first term, and “r”, common ratio
17
New cards
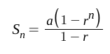
What is the formula of Sn in a GP
What is the formula of Sn in a GP
When r
When r<1
18
New cards
What is the formula of Sn in a GP
What is the formula of Sn in a GP
When r>1
When r>1
19
New cards
What is the sum to infinity
An infinite geometric sequence
20
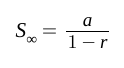
New cards
What is the formula for sum to infinity
What is the formula for sum to infinity
When

( -1 < r < 1 )
When

( -1 < r < 1 )

Explore top notes

note
Chapter 24: Lipid Metabolism
Updated 1261d ago
0.0(0)
note
A Day with My Cat
Updated 90d ago
0.0(0)
note
APUSH Unit 4
Updated 681d ago
0.0(0)
note
Minerals and Rocks
Updated 1262d ago
0.0(0)
note
4.1: Reconstruction
Updated 1253d ago
0.0(0)
note
Chapter 24: Lipid Metabolism
Updated 1261d ago
0.0(0)
note
A Day with My Cat
Updated 90d ago
0.0(0)
note
APUSH Unit 4
Updated 681d ago
0.0(0)
note
Minerals and Rocks
Updated 1262d ago
0.0(0)
note
4.1: Reconstruction
Updated 1253d ago
0.0(0)

Explore top flashcards

flashcards
Senderos 2 Chapter 1
83
Updated 187d ago
0.0(0)
flashcards
APHG Unit 3 Vocab
63
Updated 1229d ago
0.0(0)
flashcards
📙 ALL VERB SETS 📙
55
Updated 725d ago
0.0(0)
flashcards
unit 7
99
Updated 777d ago
0.0(0)
flashcards
Psychology Ch 12 and 13
58
Updated 1116d ago
0.0(0)
flashcards
Biology Lab Chemistry of Life
32
Updated 910d ago
0.0(0)
flashcards
Probook 6 2024
41
Updated 764d ago
0.0(0)
flashcards
Senderos 2 Chapter 1
83
Updated 187d ago
0.0(0)
flashcards
APHG Unit 3 Vocab
63
Updated 1229d ago
0.0(0)
flashcards
📙 ALL VERB SETS 📙
55
Updated 725d ago
0.0(0)
flashcards
unit 7
99
Updated 777d ago
0.0(0)
flashcards
Psychology Ch 12 and 13
58
Updated 1116d ago
0.0(0)
flashcards
Biology Lab Chemistry of Life
32
Updated 910d ago
0.0(0)
flashcards
Probook 6 2024
41
Updated 764d ago
0.0(0)