CMSC420 Notes

0.0(0)
Studied by 0 people
call kaiCall Kai
learnLearn
examPractice Test
spaced repetitionSpaced Repetition
heart puzzleMatch
flashcardsFlashcards
GameKnowt Play
Card Sorting

1/3

encourage image

There's no tags or description

Looks like no tags are added yet.

Last updated 4:54 PM on 1/28/26
Name
Mastery
Learn
Test
Matching
Spaced
Call with Kai

No analytics yet

Send a link to your students to track their progress

4 Terms

1
New cards
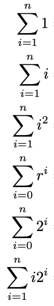
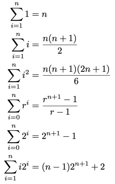
<p>What are these sums </p>

What are these sums

knowt flashcard image
2
New cards

I

i

3
New cards

I

I

4
New cards

I

I