1.3 Algebraic Expressions - 1.5 Equations

0.0(0)
Studied by 6 people
call kaiCall Kai
learnLearn
examPractice Test
spaced repetitionSpaced Repetition
heart puzzleMatch
flashcardsFlashcards
GameKnowt Play
Card Sorting

1/5

Last updated 5:30 PM on 8/4/22
Name
Mastery
Learn
Test
Matching
Spaced
Call with Kai

No analytics yet

Send a link to your students to track their progress

6 Terms

1
New cards
Polynomial
A mathematical function that is the sum of a number of terms
2
New cards
Linear equation
ax+b=0
3
New cards
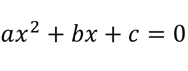
Quadratic equation
knowt flashcard image
4
New cards
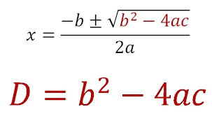
Quadratic formula
knowt flashcard image
5
New cards
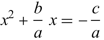
Completing the square
knowt flashcard image
6
New cards
Discriminant
knowt flashcard image

Explore top notes

note
Observation and Critique Exercise
Updated 626d ago
0.0(0)
note
Of Mice and Men - Study Guide
Updated 1275d ago
0.0(0)
note
Mental Health
Updated 323d ago
0.0(0)
note
Chapter 22: Solutions
Updated 1032d ago
0.0(0)
note
WW2 1939-1945
Updated 1386d ago
0.0(0)
note
Chapter 8 - Acids, Bases, and pH
Updated 1437d ago
0.0(0)
note
Observation and Critique Exercise
Updated 626d ago
0.0(0)
note
Of Mice and Men - Study Guide
Updated 1275d ago
0.0(0)
note
Mental Health
Updated 323d ago
0.0(0)
note
Chapter 22: Solutions
Updated 1032d ago
0.0(0)
note
WW2 1939-1945
Updated 1386d ago
0.0(0)
note
Chapter 8 - Acids, Bases, and pH
Updated 1437d ago
0.0(0)

Explore top flashcards

flashcards
Gilded Age Study Guide
74
Updated 729d ago
0.0(0)
flashcards
Semester Exam Revision
182
Updated 478d ago
0.0(0)
flashcards
VOCAB FINAL HAMILTON
83
Updated 1192d ago
0.0(0)
flashcards
Verbs (me-)
41
Updated 1026d ago
0.0(0)
flashcards
Unit 3: Iceland
24
Updated 892d ago
0.0(0)
flashcards
Sociology 2463 Midterm 2
216
Updated 101d ago
0.0(0)
flashcards
Gilded Age Study Guide
74
Updated 729d ago
0.0(0)
flashcards
Semester Exam Revision
182
Updated 478d ago
0.0(0)
flashcards
VOCAB FINAL HAMILTON
83
Updated 1192d ago
0.0(0)
flashcards
Verbs (me-)
41
Updated 1026d ago
0.0(0)
flashcards
Unit 3: Iceland
24
Updated 892d ago
0.0(0)
flashcards
Sociology 2463 Midterm 2
216
Updated 101d ago
0.0(0)