Integration of Transcendental Functions

0.0(0)
Studied by 13 people
0%Unit Mastery
0%Exam Mastery
Build your Mastery score
multiple choiceMultiple Choice
call kaiCall Kai
Supplemental Materials
Card Sorting

1/11

flashcard set

Earn XP

Description and Tags

U-subs

Last updated 3:23 PM on 12/12/22
Name
Mastery
Learn
Test
Matching
Spaced
Call with Kai

No analytics yet

Send a link to your students to track their progress

12 Terms

1
New cards
∫ sin(u)du
\-cos(u) + C
2
New cards
∫ cos(u)du
sin(u) + C
3
New cards
∫ tan(u)du
\-ln|cos(u)| + C
4
New cards
∫ csc(u)du
\-ln|csc(u)+cot(u)| + C
5
New cards
∫ sec(u)du
ln|sec(u)+tan(u)| + C
6
New cards
∫ cot(u)du
ln|sin(u)| + C
7
New cards
∫ (e^u)du
e^u + C
8
New cards
∫ du/u
ln|u| + C
9
New cards
∫ a^u du
a^u/lna +C
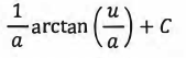
10
New cards
\
\
knowt flashcard image
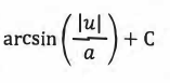
11
New cards
term image
knowt flashcard image
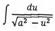
12
New cards
term image
knowt flashcard image

Explore top notes

note
Study Guide Unit 1
Updated 413d ago
0.0(0)
note
To Kill A Mocking Bird-Chapter 1
Updated 1202d ago
0.0(0)
note
Chapter 8 - Emotions & moods
Updated 1339d ago
0.0(0)
note
Primitive Types
Updated 1074d ago
0.0(0)
note
Chapter 2- England's Colonies
Updated 1406d ago
0.0(0)
note
APUSH Timeline (copy)
Updated 325d ago
0.0(0)
note
Pre-Adolescent Development (10-14)
Updated 1145d ago
0.0(0)
note
Study Guide Unit 1
Updated 413d ago
0.0(0)
note
To Kill A Mocking Bird-Chapter 1
Updated 1202d ago
0.0(0)
note
Chapter 8 - Emotions & moods
Updated 1339d ago
0.0(0)
note
Primitive Types
Updated 1074d ago
0.0(0)
note
Chapter 2- England's Colonies
Updated 1406d ago
0.0(0)
note
APUSH Timeline (copy)
Updated 325d ago
0.0(0)
note
Pre-Adolescent Development (10-14)
Updated 1145d ago
0.0(0)

Explore top flashcards

flashcards
Business Finance WW4. AU4
26
Updated 900d ago
0.0(0)
flashcards
Commerce Unit 2
22
Updated 1053d ago
0.0(0)
flashcards
Gen psych exam 1 fall 2024
93
Updated 541d ago
0.0(0)
flashcards
SPAN 261H Final Exam
67
Updated 1198d ago
0.0(0)
flashcards
Semester 1: Charlemos
21
Updated 59d ago
0.0(0)
flashcards
Exam 2 History Review
34
Updated 1136d ago
0.0(0)
flashcards
Femur
34
Updated 479d ago
0.0(0)
flashcards
Business Finance WW4. AU4
26
Updated 900d ago
0.0(0)
flashcards
Commerce Unit 2
22
Updated 1053d ago
0.0(0)
flashcards
Gen psych exam 1 fall 2024
93
Updated 541d ago
0.0(0)
flashcards
SPAN 261H Final Exam
67
Updated 1198d ago
0.0(0)
flashcards
Semester 1: Charlemos
21
Updated 59d ago
0.0(0)
flashcards
Exam 2 History Review
34
Updated 1136d ago
0.0(0)
flashcards
Femur
34
Updated 479d ago
0.0(0)