1/8
Looks like no tags are added yet.
Name | Mastery | Learn | Test | Matching | Spaced | Call with Kai |
|---|
No analytics yet
Send a link to your students to track their progress
Quina és la fórmula de la Cinètica de Michaelis-Menten? Què ens indica?
V = k · [S]
Ens indica que la velocitat és directament proporcional a la concentració de S (substrat, “reactiu”).
Quines són les condicions que s’han de complir en una cinètica de Michaelis-Menten?
La concentració de substrat a l’assaig ha de ser molt major que la d’enzim ([S] >>> [E]). Aquesta condició no té perquè complir-se in vivo, però es pot aconseguir in vitro.
El segon pas de la reacció ha de ser irreversible (ES — k2 → E + P) i k2 ha de ser menor que k1. Si aquest pas és irreversible, la reacció és de primer ordre.
La hipòtesi feta per Briggs i Haldane estableix que a l’inici de la reacció, E i S formen el complex ES ràpidament, però aquest assoleix un estat estacionari en que la concentració de ES es manté gairebé constant durant gran part de la reacció. Aquest estat es manté fins que s’esgota pràcticament tot el S.
Quina és l’equació de Michaelis-Menten?

Quina és la fórmula que permet una representació lineal de l’equació de Michaelis-Menten?
La respresentació de Lineweaver-Burk:


Quina diferència hi ha entre aquestes dues gràfiques?
La primera gràfica s’estabilitza perquè s’ha esgotat el substrat, mentre que la segona s’estabilitza perquè l’enzim està actuant a la seva velocitat màxima.
Què és una fosfatasa?
És un enzim que pertany al grup de les hidrolases. Aquests enzims normalment prenen part en el metabolisme de degradació i són majoritàriament enzims de secreció. Són enzims poc específics i es caracteritzen per hidrolitzar gran varietat d’èsters fosfat.
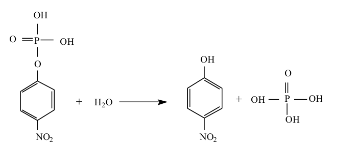
Quina és la reacció que catalitzen les fosfatases?
El grup fosfat alliberat és substituit per un grup OH que prové de l’aigua. En funció del pH òptim d’actuació de l’enzim les fosfatases es poden classificar com a àcides o alcalines. Hi ha un tercer tipus de fosfatasa que, específicament, hidrolitza el nucleòtid 5’ fosfat i s’anomena 5’ nucleotidasa.

En què consisteix el mètode de determinació de l’activitat fosfatasa alcalina (Bessey-Lowry)?
Aquest mètode determina l’acitivitat enzimàtica en la fosfatasa alcalina utilitzant el substrat p-nitrofenil fosfat el qual, un cop hidrolitzat dona com a producte una substància cromòfora a pH bàsic: el p-nitrofenol
La quantitat de producte format per unitat de temps és proporcional a l’activitat enzimàtica.

Com sabem l’espectre d’absorció del p-nitrofenol?
Diluïm p-nitrofenol en un tub d’assaig i en mesurem l’absorbància a diferents longituds d’ona. On ens doni un pic d’absorbància serà la longitud d’ona d’absorció pel p-nitrofenol.