1/14
Looks like no tags are added yet.
Name | Mastery | Learn | Test | Matching | Spaced | Call with Kai |
|---|
No analytics yet
Send a link to your students to track their progress
maltose is composed of
alpha glucose and alpha glucose
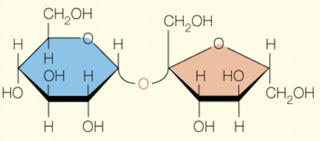
sucrose is composed of
alpha glucose and beta fructose (fructose is flipped)
lactose is composed of
beta galactose and beta glucose
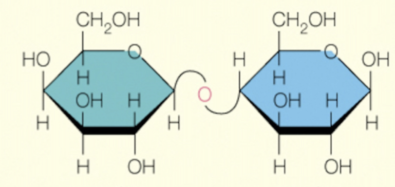
cellbiose is composed of
beta glucose and beta glucose

sucrose

lactose

maltose

cellbiose
cellulose is composed of
beta (1-4) glycosidic bonds of D-glucose
cellulose is found in
plants
starch is composed of
alpha - D - glucose
1-4 glycosidic bonds
glycogen is composed of
alpha (1-4) and alpha (1-6) D glucose cha
characteristic of glycogen
highly branched
chitin is composed of
beta (1-4) D - glucosamine
chitin is found in
insects