1/6
October 27
Name | Mastery | Learn | Test | Matching | Spaced |
|---|
No study sessions yet.
Mutualism definition
A reciprocal relationship between two species where both benefit in terms of enhanced survival, growth, or reproduction
Types of mutualism
Digestive mutualism
Trading energy for nutrients (lichens, corals, mycorrhizae, Nitrogen-fixing nodules, etc)
Trading food for food (ant-fungus, ruminants, termites)
Domestication
Defense mutualism
e.g. acacia
Pollination
Seed Dispersal
Facultative mutualism
Each species grows to capacity in the absence of the other
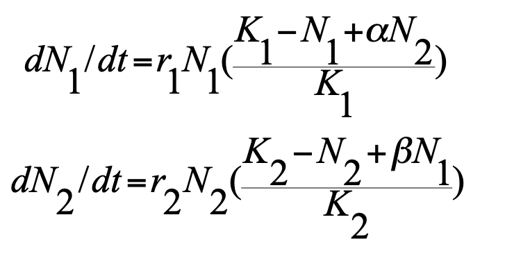
Lotka-Voltera model of mutualism

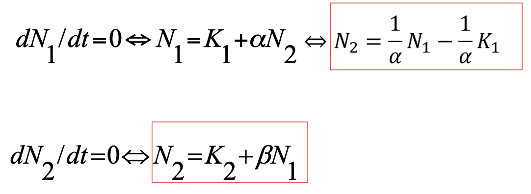
Lotka-Voltera mutualism at equilibrium

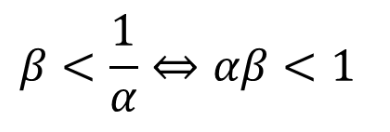
Lotka-Voltera mutualism is stable if:

Stabilizing mutualistic networks
The positive effect is saturating or emerges from trophic and non-trophic effects.