Home
Explore
Exams
Login
Get started
Home
Math
Algebra
Linear Algebra
Piecewise Functions, Evaluating Piecewise Functions
0.0
(0)
Rate it
Studied by 40 people
Call Kai
Learn
Practice Test
Spaced Repetition
Match
Flashcards
Knowt Play
Card Sorting
1/11
Earn XP
Description and Tags
Algebra
Linear Algebra
All Modes
Learn
Practice Test
Matching
Spaced Repetition
Call with Kai
Last updated 1:58 AM on 9/13/22
Update
Name
Mastery
Learn
Test
Matching
Spaced
Call with Kai
No analytics yet
Send a link to your students to track their progress
12 Terms
View all (12)
Star these 12
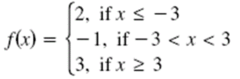
1
New cards
-3
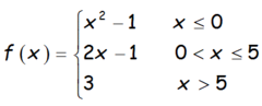
Find f(1)
2
New cards
-1
Find f(0)
3
New cards
-2
find f(-1)
4
New cards
-4
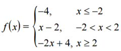
Find f(4)
5
New cards
3
Find f(-4)
6
New cards
2
Find f(-10)
7
New cards
-5
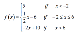
find f(2)
8
New cards
7
Find f(4)
9
New cards
5
Find f(3)
10
New cards
-16
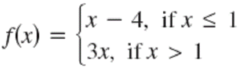
Find f(10)
11
New cards
-14
Find f(9)
12
New cards
14
Find f(5)
Explore top notes
Chapter 11: The Peculiar Institution
Updated 1246d ago
0.0
(0)
Chapter 7 - Enzymes
Updated 1279d ago
0.0
(0)
Reactions of Alcohols: Formation of esters with carboxylic acids
Updated 1344d ago
0.0
(0)
Conformity
Updated 542d ago
0.0
(0)
4.4: outsourcing and export processing zones
Updated 1202d ago
0.0
(0)
Riñón
Updated 1202d ago
0.0
(0)
AP chem unit 3 part 1: Properties of Substances and Mixtures
Updated 351d ago
0.0
(0)
Chapter 7 Vocab
Updated 1242d ago
0.0
(0)
Chapter 11: The Peculiar Institution
Updated 1246d ago
0.0
(0)
Chapter 7 - Enzymes
Updated 1279d ago
0.0
(0)
Reactions of Alcohols: Formation of esters with carboxylic acids
Updated 1344d ago
0.0
(0)
Conformity
Updated 542d ago
0.0
(0)
4.4: outsourcing and export processing zones
Updated 1202d ago
0.0
(0)
Riñón
Updated 1202d ago
0.0
(0)
AP chem unit 3 part 1: Properties of Substances and Mixtures
Updated 351d ago
0.0
(0)
Chapter 7 Vocab
Updated 1242d ago
0.0
(0)
Explore top flashcards
H English vocab
100
Updated 111d ago
0.0
(0)
Taxonomy, Phyllotaxy, and Microscopes - Unit 1 bio terms
60
Updated 98d ago
0.0
(0)
Inheritance test human biology
28
Updated 517d ago
0.0
(0)
1.1 - 1.4 AP GOV
24
Updated 948d ago
0.0
(0)
Ecosystems
33
Updated 318d ago
0.0
(0)
5 Common Characteristics of the World’s Most Famous & Successful Entrepreneurs
35
Updated 1114d ago
0.0
(0)
Unit 7: Primate Ecology: Living Primates
28
Updated 406d ago
0.0
(0)
Vocab level E unit 13
20
Updated 347d ago
0.0
(0)
H English vocab
100
Updated 111d ago
0.0
(0)
Taxonomy, Phyllotaxy, and Microscopes - Unit 1 bio terms
60
Updated 98d ago
0.0
(0)
Inheritance test human biology
28
Updated 517d ago
0.0
(0)
1.1 - 1.4 AP GOV
24
Updated 948d ago
0.0
(0)
Ecosystems
33
Updated 318d ago
0.0
(0)
5 Common Characteristics of the World’s Most Famous & Successful Entrepreneurs
35
Updated 1114d ago
0.0
(0)
Unit 7: Primate Ecology: Living Primates
28
Updated 406d ago
0.0
(0)
Vocab level E unit 13
20
Updated 347d ago
0.0
(0)