Superficies cuádricas

0.0(0)
Studied by 9 people
call kaiCall Kai
learnLearn
examPractice Test
spaced repetitionSpaced Repetition
heart puzzleMatch
flashcardsFlashcards
GameKnowt Play
Card Sorting

1/5

flashcard set

Earn XP

Description and Tags

Last updated 8:15 PM on 6/15/23
Name
Mastery
Learn
Test
Matching
Spaced
Call with Kai

No analytics yet

Send a link to your students to track their progress

6 Terms

1
New cards
term image
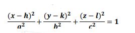
Elipsoide
Elipsoide
2
New cards
term image
Hiperboloide de una hoja
Hiperboloide de una hoja
3
New cards
term image
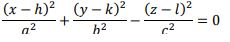
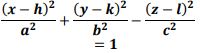
Hiperboloide de dos hoja
Hiperboloide de dos hoja
4
New cards
term image
Cono elíptico
Cono elíptico
5
New cards
term image
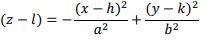
Paraboloide
Paraboloide
6
New cards
term image
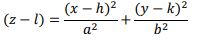
Paraboloide hiperbólico
Paraboloide hiperbólico