1/12
Looks like no tags are added yet.
Name | Mastery | Learn | Test | Matching | Spaced |
|---|
No study sessions yet.

Beta-D-Glucosamine

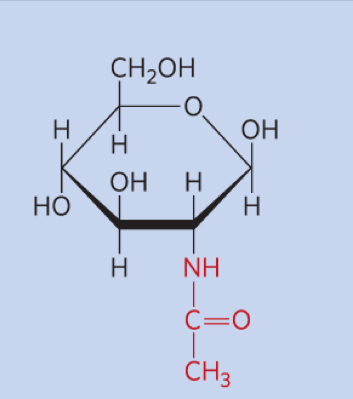
N-acetyl-beta-D-glucosamine

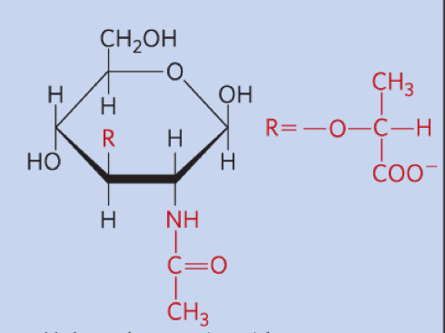
N-acetylmuramic acid

Muramic Acid

Beta-D-Glucose-6-Phosphate

Beta-D-galactosamine

Beta-D-Mannosamine

Beta-L-Fructose

Beta-L-Rhamnose

Beta-D-glucuronate aka uronic acid

D-gluconate aka aldonic acid

D-glucono-S-lactone

N-acetylneuraminic acid aka sialic acid