1/6
Functional group name, common name, properties, diagram
Name | Mastery | Learn | Test | Matching | Spaced | Call with Kai |
|---|
No analytics yet
Send a link to your students to track their progress
Hydroxyl
Alcohol
Polar

Carbonyl
Ketone (within skeleton) / aldehyde (end of skeleton)
Polar

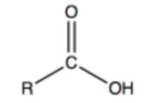
Carboxyl
Carboxylic/organic acid
Acts as acid

Amino
Amine
Acts as a base

Sulfhydryl
Thiol
Two sulfhydryl groups can form a cross-link, stabilizing protein structures
Polar

Phosphate
Organic phosphate
Negatively charged (if it donated H protons that were bonded to oxygen)
Gives molecule ability to react with water, splitting off and releasing energy (eg ATP)

Methyl
Methylated compound
Nonpolar
Recognition tag — gene expression and sex hormone function
