Phophoglycerides cell

0.0(0)
Studied by 1 person
call kaiCall Kai
learnLearn
examPractice Test
spaced repetitionSpaced Repetition
heart puzzleMatch
flashcardsFlashcards
GameKnowt Play
Card Sorting

1/36

encourage image

There's no tags or description

Looks like no tags are added yet.

Last updated 10:35 PM on 8/29/23
Name
Mastery
Learn
Test
Matching
Spaced
Call with Kai

No analytics yet

Send a link to your students to track their progress

37 Terms

1
New cards
term image
Phosphatidic acid
2
New cards
term image
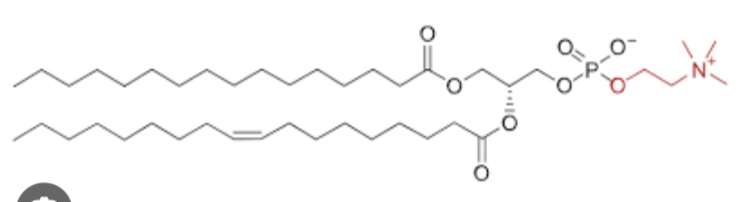
Phosphatidylcholine (lecithin)
3
New cards
term image
phosphatidic acid
4
New cards
term image
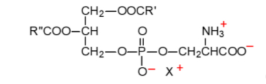
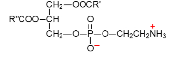
Phosphatidyl serine
5
New cards
term image
Phosphatidic acid
6
New cards
term image
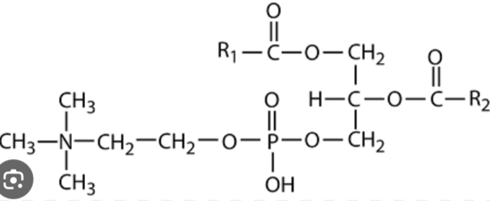
Phosphatidyl ethanolamine
7
New cards
term image
Phosphatidylcholine (lecithin)
8
New cards
term image
Phosphatidic acid
9
New cards
term image
Phosphatidyl ethanolamine
10
New cards
term image
Phosphatidyl serine
11
New cards
term image
Phosphatidylcholine (lecithin)
12
New cards
term image
Phosphatidic acid
13
New cards
term image
Phosphatidyl serine
14
New cards
term image
Phosphatidylcholine (lecithin)
15
New cards
term image
Phosphatidyl serine
16
New cards
term image
Phosphatidyl inositol
17
New cards
term image
Phosphatidyl ethanolamine
18
New cards
term image
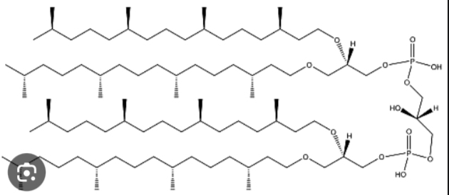
Diphosphatidyl glycerol or cardiolapin
19
New cards
term image
Diphosphatidyl glycerol or cardiolapin
20
New cards
term image
Phosphatidyl inositol 
21
New cards
term image
Sphingosine
22
New cards
term image
Diphosphatidyl glycerol or cardiolapin
23
New cards
term image
Spingosine
24
New cards
term image
Phosphatidyl inositol 
25
New cards
term image
Ceramide
26
New cards
term image
Spingosine
27
New cards
term image
Ceramides
28
New cards
term image
Ceramides
29
New cards
term image
Sphingomyelin
30
New cards
term image
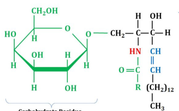
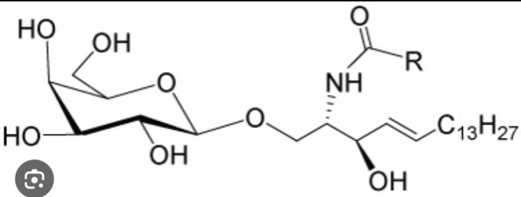
A cerebroside
31
New cards
term image
Sphingomyelin
32
New cards
term image
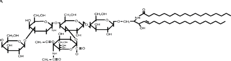
A ganglioside
33
New cards
term image
A cerebroside
34
New cards
term image
Ceramide
35
New cards
term image
A cerebroside
36
New cards
term image
A ganglioside
37
New cards
term image
A ganglioside

Explore top flashcards

flashcards
Lokapróf LÍFF
357
Updated 692d ago
0.0(0)
flashcards
BIOL 1307 Exam 1 Review
39
Updated 778d ago
0.0(0)
flashcards
EMI
308
Updated 378d ago
0.0(0)
flashcards
AS Rocks and Weathering
66
Updated 751d ago
0.0(0)
flashcards
Vocab Unit 4 and 5
21
Updated 101d ago
0.0(0)
flashcards
10th unit
69
Updated 171d ago
0.0(0)
flashcards
all dr.shehab Q&A histo nmu
104
Updated 626d ago
0.0(0)
flashcards
Lokapróf LÍFF
357
Updated 692d ago
0.0(0)
flashcards
BIOL 1307 Exam 1 Review
39
Updated 778d ago
0.0(0)
flashcards
EMI
308
Updated 378d ago
0.0(0)
flashcards
AS Rocks and Weathering
66
Updated 751d ago
0.0(0)
flashcards
Vocab Unit 4 and 5
21
Updated 101d ago
0.0(0)
flashcards
10th unit
69
Updated 171d ago
0.0(0)
flashcards
all dr.shehab Q&A histo nmu
104
Updated 626d ago
0.0(0)