1/23
Biochemistry Oklahoma
Name | Mastery | Learn | Test | Matching | Spaced |
|---|
No study sessions yet.
—H name of head group
water
—H phospholipid name
phosphatidic acid
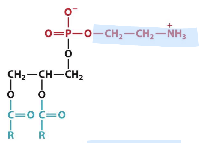
—CH2CH2NH3+ name of head group
ethanolamine
—CH2CH2NH3+ phospholipid name
phosphatidylethanolamine
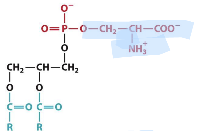
—CH2CH(NH3+)COO- name of head group
serine
—CH2CH2N(CH3)3+ name of head group
choline
—CH2CH2N(CH3)3+ phospholipid name
phosphatidylcholine
—CH2CH(NH3+)COO- phospholipid name
phosphatidylserine

name of head group
myo-inositol

phospholipid name
phosphatidylinositol
—CH2CH(OH)CH2OH phospholipid name
phosphatidylglycerol
—CH2CH(OH)CH2OH name of head group
glycerol

name of head group
phosphatidylglycerol

name of phospholipid
diphosphatidylglycerol

Identify this glycerophospholipid
phosphatidylcholine

Identify this glycerophospholipid
phosphatidylglycerol

Identify this glycerophospholipid
phosphatidylethanolamine

Identify this glycerophospholipid
phosphatidylserine
microtubule
This protein has as its fundamental building blocks heterodimers made up of a- and b-subunits.
F-actin
This form of the protein forms microfilaments that are important in cell crawling.
a-keratin
This basic structural unit of this protein is a dimer of a-helices that wind around each other.
vitamin k
This vitamin is required for modification reactions that occur in the Gla domain of prothrombin.
vitamin c
This vitamin is indirectly required for modification reactions that occur in the protein collagen.
rate enhancement=
= exp(ΔG‡uncat − ΔG‡cat)/RT.