Pavlov and Classical Conditioning

0.0(0)
studied byStudied by 0 people
0.0(0)
full-widthCall with Kai
GameKnowt Play
New
learnLearn
examPractice Test
spaced repetitionSpaced Repetition
heart puzzleMatch
flashcardsFlashcards
Card Sorting

1/9

encourage image

There's no tags or description

Looks like no tags are added yet.

Study Analytics
Name
Mastery
Learn
Test
Matching
Spaced

No study sessions yet.

10 Terms

1
New cards

What is classical conditioning?

Classical conditioning is learning by association

2
New cards

What is the unconditioned stimulus?

The unconditioned stimulus is a natural experience that causes a reflex response.

3
New cards

What is the unconditioned response?

The unconditioned response is the natural, reflex response to this unconditioned stimulus

4
New cards

What is a neutral stimulus?

A neutral stimulus is an experience that does not cause a natural, reflex response

5
New cards

What happens when a neutral stimulus is consistently paired with an unconditioned stimulus?

When a neutral stimulus is consistently paired with an unconditioned stimulus, they become associated and will lead to the same response

6
New cards

What is the conditioned stimulus?

The conditioned stimulus is when, after pairing, the neutral stimulus is able to elicit the reflex response, even in the absence of the unconditioned stimulus

7
New cards

What is the conditioned response?

The conditioned response is when, after pairing, the natural reflex responnse can now be caused by the neutral stimulus; it has become ‘conditioned’

8
New cards

What were the natural pre-existing relationships in The Pavlov’s Dogs’s experiment?

knowt flashcard image
9
New cards

What happens when the unconditioned stimulus (food) is paired with the neutral stimulus (bell)? in Pavlov’s Dogs’ experiment

knowt flashcard image
10
New cards

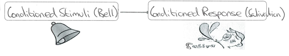
What happens when the bell becomes the conditioned stimulus in The Pavlov’s Dogs’ experiment?

knowt flashcard image

Explore top flashcards

VOCAB 13, 14, 15
Updated 1000d ago
flashcards Flashcards (30)
Math Word Problems
Updated 280d ago
flashcards Flashcards (41)
Microscope Parts
Updated 393d ago
flashcards Flashcards (24)
chinese vocab
Updated 955d ago
flashcards Flashcards (25)
Biology 11.1
Updated 977d ago
flashcards Flashcards (46)
Neuro Block 4
Updated 1046d ago
flashcards Flashcards (130)
OS Midterm
Updated 583d ago
flashcards Flashcards (116)
VOCAB 13, 14, 15
Updated 1000d ago
flashcards Flashcards (30)
Math Word Problems
Updated 280d ago
flashcards Flashcards (41)
Microscope Parts
Updated 393d ago
flashcards Flashcards (24)
chinese vocab
Updated 955d ago
flashcards Flashcards (25)
Biology 11.1
Updated 977d ago
flashcards Flashcards (46)
Neuro Block 4
Updated 1046d ago
flashcards Flashcards (130)
OS Midterm
Updated 583d ago
flashcards Flashcards (116)