1/156
Looks like no tags are added yet.
Name | Mastery | Learn | Test | Matching | Spaced | Call with Kai |
|---|
No analytics yet
Send a link to your students to track their progress
prekursor
wyjściowy związek chemiczny w szlaku biologicznym

reakcja katalizowana przez:
laktazę
aminokwasy białkowe
grupa aminowa i karboksylowa są połączone z atomem węgla α
(należą do α-aminokwasów)

puryny
heterocykliczne związki tworzące pierścienie aromatyczne, zbudowane ze skoncentrowanych pierścieni pirymidyny i imidazolu

zasady purynowe są usuwane z organizmu człowieka jako:
kwas moczowy

2cyt cred + ½ O2 + 4H+wewn. → 2cyt cutl + H2O + 2H+zewn.
reakcja występuje w szlaku:
łańcuch oddechowy
Glukozo-6-fosforan i fruktozo-6-fosforan są przekształcane w siebie wzajemnie przez:
Izomerazę glukozofosforanową

Enzymem szlaku glukoneogenezy, nie występującym w szlaku glikolizy jest:
glukozo-6-fosfataza, fruktozo-1,6-bisfosfataza

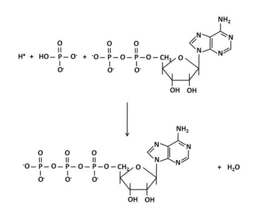
Kinaza nukleozydodifosforanowa odpowiada za przekształcenie:
nukleozydodifosforanów (d)NDP w nukleozydotrifosforanów (d)NTP

OMP jest prekursorem przy syntezie de novo:
UMP (urydyno-5'-monofostoran)

Triacyloglicerole
forma transportu kw. tłuszczowych we krwi (i w limfie), np. do mięśni i tk. tłuszczowej oraz ich magazynowania w komórkach tk. tłuszczowej (adipocytach), jako kropelek tłuszczu w cytoplazmie

Synteza triacylogliceroli w organizmie człowieka zachodzi głównie w:
tkance tłuszczowej i wątrobie
W trakcie etapu regeneracji w cyklu Calvina przekształceniom ulegają szkielety cukrów o liczbie atomów węgla w łańcuchu równej:
C3, C4, C5, C6 i C7
Glukozo-1-fosforan istnieje:
niemal wyłącznie w formie pierścieniowej (w warunkach fizjologicznych oraz procesach metabolicznych)

Dehydrogenaza bursztynianowa jest dodatkową aktywnością enzymatyczną kompleksu
II

Przy syntezie nukleotydów pirymidynowych de novo:
-wymagane są glutamina i asparaginian
-pełny szkielet pirymidyny (orotanu) dołączany jest do rybozo-5-fosforanu z PRPP
-wykorzystywany jest węgiel nieorganiczny, bez zysku netto w liczbie atomów węgla organicznego

Cytozyna powstaje:
-jako CTP (cytydyno-5'-trifosforan) z UTP

Kwasy tłuszczowe są głównym substratem energetycznym dla:
serca i wątroby
Ciała ketonowe
-alternatywny produkt utleniania wolnych kw. tłuszczowych w wątrobie
-mogą być wykorzystywane jako materiał energetyczny przez mózg, serce, mięsnie i nerki
-pośrednie metabolity tłuszczów (np. aceton)

Celem łańcucha oddechowego jest:
utlenienie NADH i FADH2 (regeneracja NAD+ i FAD)
(oraz wytworzenie gradientu H+)

Syntaza ATP w chloroplastach zlokalizowana jest w:
błonie tylakoidów

XMP jest prekursorem przy syntezie de novo:
tylko GMP

Prekursorem do syntezy cholesterolu jest:
Skwalen (Skwalen → lanosterol → cholesterol)

reakcje reprezentują:
fermentację alkoholową


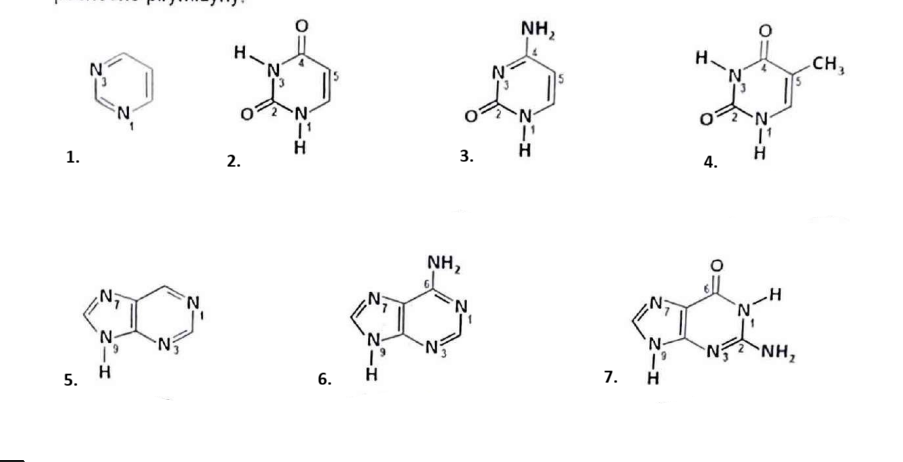
Związek o nazwie tymina oznaczony jest numerem:
4.


reakcja może być katalizowana przez:
kinazę (heksokinazę)


reakcja może być katalizowana przez:
fosforylazę

W trakcie etapu redukcji w cyklu Calvina działają enzymy:
kinaza 3-fosfoglicerynianowa i dehydrogenaza aldehydu-3-fosfoglicerynowego

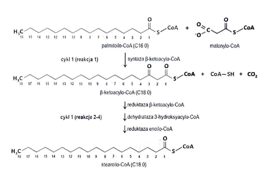
Synteza kwasów tłuszczowych wymaga następujących kolejnych aktywności enzymatycznych:
syntaza, reduktaza, dehydrataza, reduktaza

Przy syntezie fosfatydyloinozytolu (glicerofosfolidu) u człowieka inozytol wchodzi w reakcję z:
CDP-diacyloglicerolem

Rzadkim aminokwasem białkowym jest:
selenocysteina

Ksylulozo-5-fosforan i rybulozo-5-fosforan są przekształcane w siebie wzajemnie przez:
epimerazę


reakcja katalizowana jest przez:
syntetazę glutaminową

Enzym przenoszący resztę fosforanową (fosforyl) z ATP na tlen grupy hydroksylowej to:
kinaza (ATP → ADP)
W fazie jasnej fotosyntezy (niecyklicznego przepływu elektronów), do przeniesienia 1 elektronu potrzebna jest absorpcja następującej liczby fotonów:
2

Enzym katalizujący usunięcie reszty fosforanowej (fosforylu) z estru fosforowego to:
fosfataza
Do pierwiastków biogennych zaliczamy:
C,H,O,N,S,P
Rośliny mogą wykorzystywać jako źródło siarki:
SO42-

W trakcie etapu regeneracji w cyklu Calvina zużywane są:
tylko ATP

W trakcie etapu redukcji w cyklu Calvina zużywane są:
-ATP i NADPH

Glikoliza zachodzi w:
cytosolu (wszystkie reakcje)
Różnica w szlakach glikolizy i glukoneogenezy polega na odmiennym przebiegu wzajemnego przekształcenia:
fruktozo-6-fosforanu i fruktozo-1,6-bisfosforanu

Fermentacja mlekowa zachodzi w:
cytosolu

Sacharoza w przewodzie pokarmowym człowieka jest trawiona:
w jelicie cienkim

W trakcie fotosyntezy (niecyklicznego przepływu elektronów) NADPH i ATP są produkowane w proporcjach:
2:3 (redukcji 1 cz. NADP+ towarzyszy synteza 1,5 cz. ATP)


Poniższa reakcja jest katalizowana przez:
reduktazę rybonukleozydodifosforanową

Synteza 1 cząsteczki ATP w mitochondriach wymaga udziału następującej liczby protonów z gradientu (wartość przybliżona):
3

Czynniki rozprzęgające (2,4-dinitrofenol, termogenina) w mitochondrium hamują aktywność:
syntazy ATP

Przemiany zachodzące samorzutnie charakteryzują się zmianą energii swobodnej Gibbsa (ΔG):
ΔG < 0
Bilans utleniania (β-oksydacji) kw. palmitynowego wynosi:
8 cząsteczek acetylo-CoA, 7 cząsteczek NADH, 7 cząsteczek FADH2


Spośród poniższych typową kombinacją występującą w kwasie nukleinowym jest:
4.

Dekarboksylacji oksydacyjnej 1 cząsteczki pirogronianu towarzyszy:
powstanie 1 cząsteczki NADH

W trakcie głodzenia, u człowieka, ciała ketonowe są wykorzystywane przede wszystkim przez:
mózg


wzory przedstawiają dwa:
enencjomery
Enancjomery
cząstki chemiczne będące odbiciami lustrzanymi

Epimery
epimery to diastereoizomery konfiguracyjne różniące się położeniem atomów wokół tylko jednego centrum chiralności


W tej cząsteczce podjednostki powiązane są ze sobą wiązaniem:
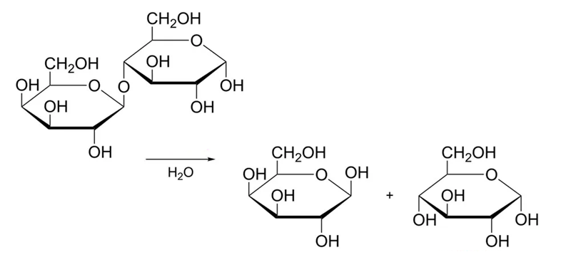
glikozydowym

U człowieka, grupy aminowe po deaminacji aminokwasów w tkankach przekazywane są do wątroby w postaci:
glutaminy
Do aminokwasów aromatycznych należą:
tryptofan, tyrozyna, histydyna, fenyloalanina

Zasadą azotową w ogóle niewystępującą w kwasach nukleinowych jest:
guanidyna
Pierwszym związkiem organicznym u roślin, w którym pojawia się siarka włączana z jonu siarczkowego jest:
cysteina

!!!!Ostatnim wspólnym metabolitem syntezy triacylogliceroli i fosfoglicerydów jest:
kwas fosfatydowy (dla większości diacyloglicerol)

W fazie nieutleniającej szlaku heksozomonofosforanowego (fosfoglukonianowego) zmiana długości szkieletów cukrów jest efektem serii działających po sobie enzymów:
transketolaza, transaldolaza, transketolaza

Składniki nukleotydu połączone są ze sobą wiązaniami
estrowym i glikozydowym

Enzymy:
-katalizatory nie wpływają na zmianę energii swobodnej (ΔG) reakcji
-enzym na ogół wykazuje bardzo wysoką specyficzność substratową
-enzym na ogół katalizuje jeden typ reakcji chemicznej (jeden sposób przekształcenia substratu)
-nie zmieniają stanu równowagi reakcji chemicznej, jedynie przyspieszają jego ustalenie

Glukozo-6-fosforan istnieje:
zarówno w postaci łańcuchowej jak i pierścieniowej


reakcje katalizowane są przez:
transaminazy

W trakcie reakcji łańcucha oddechowego są przenoszone protony w ilości na 1 cząsteczkę przenośnika elektronów:
10 dla NADH i 6 dla FADH2

Przykładem ciała ketonowego jest:
acetooctan

Całkowite utlenienie 1 cząsteczki glukozy na drodze glikolizy, dekarboksylacji oksydacyjnej pirogronianu i cyklu Krebsa daje komórce energię równoważną ATP w ilości (netto):
30

W trakcie glikolizy połączonej z fermentacją mlekową z przekształcenia 1 cząsteczki glukozy powstają:
2 cząsteczki ATP, 2 cząsteczki mleczanu

Asparaginian powstaje przy udziale transaminazy asparaginianowej bezpośrednio ze szkieletu:
szczawiooctanu

Do związków prostych zaliczamy:
glutaminian, fruktozę, adeninę, palmitynian
U człowieka, cykl mocznikowy zachodzi:
w mitochondrium, a potem w cytozolu

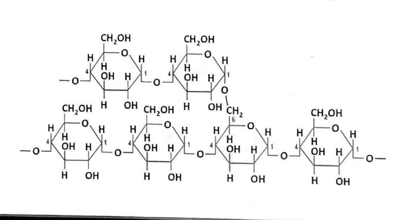
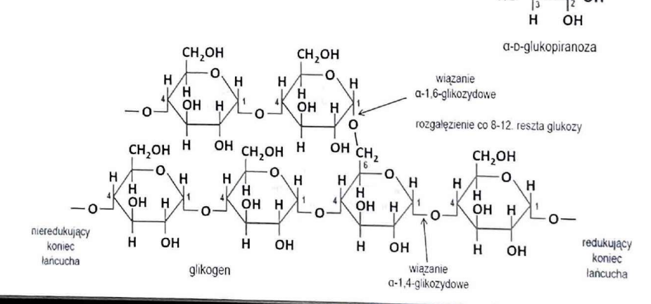
Glikogen jest polisacharydem zbudowanym z reszt glukozy:
rozgałęzionym, gdzie cząsteczki glukozy połączone są wiązaniami α-1,4- i α-1-6-glikozydowymi

FAD powstaje poprzez:
fosforylację witaminy B2 (ryboflawiny) i dalszą adenylilację tego nukleotydu

Ciała ketonowe w organizmie człowieka są głównie syntetyzowane w:
wątrobie

Prolina powstaje z przekształcenia szkieletu:
glutaminianu

Szkielety węglowe aminokwasów są głównym substratem energetycznym dla:
wątroby
Fruktoza jest:
ketoheksozą

Po deaminacji, szkielety węglowe wszystkich aminokwasów białkowych mogą być:
przekształcane w metabolity cyklu Krebsa lub metabolity wchodzące w ten cykl
W trakcie syntezy 1 cząsteczki kw. palmitynowego zużywane jest:
8 cząsteczek acetylo-CoA, 7 cząsteczek ATP, 14 cząsteczek NADPH

Szlak syntezy nukleotydów purynowych de novo przebiega w:
w całości w cytosolu
Zasady pirymidynowe usuwane są z organizmu człowieka głównie jako:
ich szkielet węglowy jest wykorzystywany w innych reakcjach, a azot wydalany jest w postaci mocznika
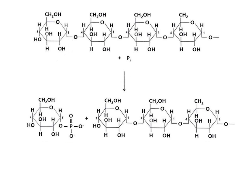
Enzym rozbijający wiązanie glikozydowe za pomocą cząsteczki nieorganicznego fosforanu to:
fosforylaza

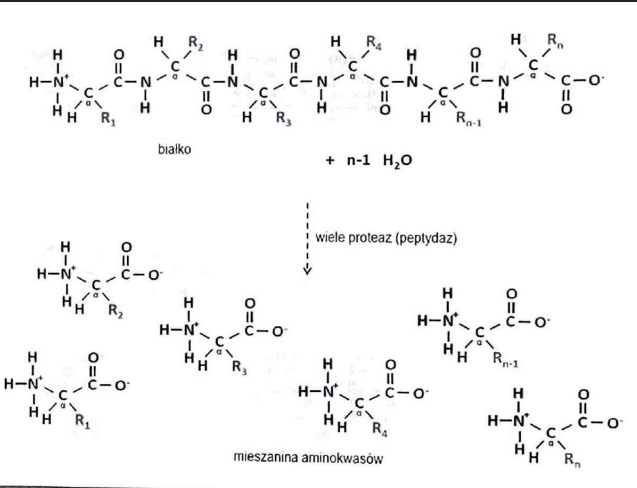
Białka rozpadają się na pojedyncze (wolne) aminokwasy na skutek działania:
proteaz


reakcja jest przypadkiem:
fosforylacji substratowej

W trakcie syntezy kwasów tłuszczowych o długości do 16 atomów węgla łączą się ze sobą szkielety:
acetylo-ACP i malonylo-ACP

Arginina powstaje z przekształcenia szkieletu:
ornityny

Fosfatydylocholina może powstawać u człowieka w wyniku:
-potrójnej metylacji fosfatydyloetanoloaminy
-reakcji CDP-choliny z diacyloglicerolem
-reakcji choliny z fosfatydyloseryną
U człowieka, mocznik powstaje w wyniku rozpadu:
argininy


Związek o nazwie 4-amino-2-oksopirymidyna oznaczony jest numerem:
2.

UDP-glukoza jako metabolit pojawia się w szlakach:
syntezy glikogenu, syntezy laktozy, syntezy celulozy, syntezy sacharozy

Zysk netto w cyklu Calvina to:
1 cząsteczka aldehydu 3-fosfoglicerynowego


Wśród powyższych związków, aminokwasem aromatycznym są/jest związek o numerze:
1.
Biochemia rozpoczęła swój intensywny rozwój w:
XIX wieku
W trakcie reakcji łańcucha oddechowego elektrony przenoszone są kolejno pomiędzy:
NADH, ubichinonem, cytochromem c i tlenem
Całkowite utlenienie 1 cząsteczki kwasu palmitynowego na drodzę beta-oksydacji i cyklu Krebsa daje komórce energię równoważną ATP w ilości (netto):
106 cząsteczek

Azot z egzocyklicznych grup aminowych w pierścieniach zasad azotowych usuwany jest z organizmu człowieka w postaci:
mocznika
Synteza triacylogliceroli i fosfoglicerydów u człowieka zachodzi w:
retikulum endoplazmatycznym
