Chapter 6: Computer System and Networks

Computing Devices

  • A computing device is a physical artifact that can run a program.
      * Some examples include computers, tablets, servers, routers, and smart sensors.
  • The device must be able to take inputs, process the inputs, and then calculate results based on those inputs.
  • A computer is a computing device, but not all computing devices are computers.
  • A computing system is a group of computing devices and programs working together for a common purpose.
  • A computer network is a group of interconnected computing devices capable of sending or receiving data.

Autonomous Systems of the Internet

 

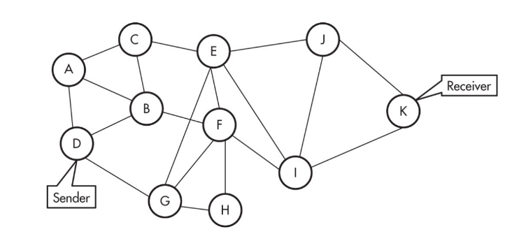
  • Each circle in the diagram above represents a computer system that is connected to another computer system, forming a computer network.
  • The larger circles represent systems that have a higher bandwidth capacity measured in bits per second.
  • The bandwidth of a computer network is the maximum amount of data that can be sent in a fixed amount of time.

 

  • A path between two computing devices on a computer network (a sender and receiver) is a sequence of directly connected computing devices that begins at the sender and ends at the receiver.
  • Routing is the process of finding a path from sender to receiver.

 

  • If the path from sender to receiver is broken, the path will be rerouted.
  • This fault-tolerant nature of the internet makes connections between computing devices more reliable.

Internet Protocol

  • Internet protocol (IP) is responsible for addressing and routing your online requests.
  • For a device to connect to the internet, it is first assigned an internet protocol address.

Transmission Control Protocol

  • Transmission control protocol (TCP) is a protocol that defines how computers send packets of data to each other.
  • Data traveling in the internet is broken down into small chunks of data called packets.

User Datagram Protocol

  • User datagram protocol (UDP) is a protocol that allows computer applications to send messages without checking for missing packets to save on time needed to retransmit missing packets.
  • UDP is not as reliable as TCP, which does resend packets lost when transmitting.

Fault Tolerance

 

  • When a system can support failures and continue to function, it is called fault tolerant.
      * This is important because elements can fail at any time, and fault tolerance allows users to continue to use the network.
  • The process from computer D to computer K in the diagram above is called end-to-end architecture.
      * This process involves the breaking down and assembling of the packets at each end.
      * What happens to the packets in the middle is hidden from the user in an abstraction.

Difference Between Internet and World Wide Web

  • The internet refers to the hardware.
  • The World Wide Web, in contrast, refers to the software used on the internet.

Efficiency of Solutions

  • Sequential computing is a computational model in which operations are performed in order one at a time.
  • A sequential solution takes as long as the sum of all of the steps.
  • A parallel solution takes at least as long as the longest branch in the program.

Sequential Computing

  • A problem is broken into discrete instructions.
  • These instructions are executed one by one by a single computing device having a single central processing unit (CPU).

 

Parallel Computing

 

  • A parallel computing solution takes as long as the longest of the tasks done in parallel.
  • A parallel computing solution takes as long as its sequential tasks plus the longest of its parallel tasks.
  • Parallel computing can consist of a parallel portion and a sequential portion.

Why Is Parallel Computing Used?

  • Parallel computing is needed for real-world simulations and modeling.
  • Multiple processors can operate independently but share the same memory resources.

 

Distributed Computing

  • Distributed computing allows problems to be solved that could not be solved on a single computer because of either the processing time or storage needs involved.
  • Parallel computing uses a single computer with multiple processors.
  • Distributed computing uses multiple computing devices to process those tasks.