Health and Society tings
Theme C Revision
Professionalism
Describe the professional attitude expected of medical staff and students?
· Make care of your patient your first concern.
· Protect and promote the health of your patients and the public.
· Provide a good standard of practice and care and keep up to date.
· Treat patients as individuals and respect their dignity.
· Work in partnership with patients.
· Be honest and open and act with integrity.
· Maintain confidentiality.
What is the definition of medical professionalism?
· Set of values, behaviours and relationships that underpins the trust that the public has in doctors
GMC
Describe the regulatory role of the GMC?
· To protect, promote and maintain the health and safety of the public by ensuring proper standards in the practice of medicine.
Outline the role of medical schools and the GMC in ensuring students and doctors fitness to practice?
· GMC sets its guidance for what medical graduates need to accomplish in Tomorrow's Doctors.
· This is taught by the medical schools.
· This is examined formally in various exams taken throughout the course, reflective essays, learning to give feedback and self-reflection, attendance and punctuality, plagiarism.
Communication
Benefits of good communication?
· More accurate diagnosis
· More accurate data gathering
· Increased adherence with treatment regime
· More effective patient-doctor relationship
· Increased patient-doctor satisfaction
Consequences of poor communication?
· Inaccurate diagnosis
· Less recognition of ICE
· Non-adherence to treatment
· Decreased satisfaction with doctor
· More complaints
Can communication skills be taught?
YES
· Skilled training leads to improvement in communication
· Self reflection
· Feedback should be specific, descriptive, and non-judgemental
Why is Calgary-Cambridge important?
· Every patient has their own problem and explains it within their own framework
· Understanding the CC model can help you treat them better and you can communicate with them from within their own framework
Genetics
What models explain difference in people?
· Biomedical explanations of difference rely on biology
· Social models explain difference by social interactions
· Faith system
· Epigenetics (combines biological and social)
What makes science social?
· Decisions about research funding
· Pharmaceutical industry - profits
· Ethical issues
· Nature of scientific work - communication
What is eugenics?
· Improving a population by controlled breeding
· Encourages good genetics, discourages bad genetics
What is positive eugenics?
· Encourages good genetics
What is negative eugenics?
· Discourages bad genetics
Issues with eugenics?
· Thinking about the future based on genetics
· Designer babies
· Genetic screening - health insurance, employment, and civil liberties
· Many conditions are polygenic
Patient centred care
What is patient centred care?
· Care that is responsive to the wants, needs, and preferences of the patient
6 criteria of patient centred care?
· Explores patients main reasons for visit
· Seek integrated understanding of patients world - looks at the whole person
· Finds common ground on problem and mutually agrees on management
· Enhances prevention and health promotion
· Enhances the continuing relationship between the patient and the doctor
· Is realistic
Sick role
What is the sick role?
· States the rights and responsibilities for patient and doctors when they have a consultation
What is the patient expected to do?
· Must want to get well as quickly as possible
· Should seek professional medical advice and cooperate with the doctor
· Allowed to shed normal activities and responsibilities eg work
· Regarded as being in need of care and unable to get better by his or her own
What must the doctor do to uphold the sick role?
· Apply a high degree of skill and knowledge
· Act for welfare of patient, not self interest
· Be objective and emotionally detached
· Be guided by rules of professional practice
What right does the doctor have?
· Right to examine patients
· Granted autonomy in professional practice
· Occupies position of authority in regard to the patient
Criticisms of the sick role?
· Symptom iceburg - Patients do not necessarily act on symptoms and go see the doctor
· Chronic illness and MUS - If cause unknown, patients can't enter sick role due to uncertainty
· People try to label themselves as sick
· Conflict between best interests for the patient and cost to society in allocation of resources
Evidence based decision making
What is evidence?
· Body of facts/information indicating whether a belief or proposition is true or valid
What 4 sources are used when making a clinical decision?
· Patient preferences
· Available resources
· Research evidence
· Clinical expertise
Why is evidence-based decision making important?
· Deals with uncertainty
· Medical knowledge is incomplete/shifting
· Patients will receive most appropriate treatment
· Constant need for innovation and improvement
· Improving efficiency of healthcare services
· Reduces practice variation
Give 4 ways in which EBDM may be implemented?
· Evidence based clinical guidelines
· Summaries of evidence provided to practitioners
· Access to reviews of research evidence
· Practitioners evaluating research for themselves
NHS
What is economics?
· Economics is about how people allocate scarce resources amongst competing activities
Define opportunity cost?
· The loss of other alternatives when one alternative is chosen
Give 3 aspects of opportunity cost decisions?
· Time is an important cost - spending time on one person denies another
· Overspending your budget cuts another elsewhere
· Good medical practice means you must be aware of the cost of the care you deliver to patients, be aware of the treatments you give to ensure they work
What are the sources of NHS funding?
· Tax finance
· Some user charges e.g. prescriptions
How is the NHS organised?
· 210 CCGs - Buyers
· Public hospitals and GPs - Sellers
What is flat of the curve medicine?
· Lots of things do not improve health, but increase cost
Choosing best treatment?
· Must have clinical effectiveness and cost effectiveness
Ethics
What are meta-ethics?
· Study of moral concepts, eg right and wrong
What is normative ethics (moral theory)?
· Study of the means of deciding what is right and wrong
What is applied ethics?
· Application of moral theory
What are the 3 main types of moral theory?
· Consequentialism - Moral based on the consequence of the action
· Deontoloty (duty based) - Moral based on actions adherence to the rules
· Virtue ethics - Right act is one a virtuous person would do
What are the 4 ethical principles?
· Autonomy - Respect the patient as an individual to make choices
· Non-maleficence - Not permitted to harm patients
· Beneficence - Act in a way that positively benefits patient (act in patients best interests)
· Justice - Treat people fairly and equitably
Two agendas
What are the two agendas?
· Disease
· Illness
What is the difference between disease and illness?
· Disease - What is wrong with the body
· Illness - Look at the way that the patient experiences the disease
Why is it important to address both agendas?
· Disease - Means you treat the correct condition, improves biomedical health
· Illness - Can discover how illness is impacting patients life, patient more satisfied, enhances doctor-patient relationship
Patients best interests
What is autonomy?
· Informing patients with capacity to make their own decisions
· Respecting wishes regarding patients treatment
What ethical principles should you think about when assessing patients best interests?
· Beneficence - Act to positively benefit patient
· Non-maleficence - Act in a way as not to harm the patient
What potential difficulties that might occur when assessing best interest?
· Difficulties in predicting future outcome
· Conflict between benefits of treatment and patients own views
· Conflict between patient and doctor view of best interest
· Emotional attachment may distort doctors views
· Patient may be unable to communicate relevant information
What is paternalism?
· Interference with a person's freedom of action/information
What is coercion?
· Persuading patient to do something by force of threats (eg forcing to eat)
What is misinformation?
· Lying to save from distress
What is the Bolam test?
· Test of negligence, determines standard of care
What is the Bolitho amendment?
· Doctors should behave in a logical way
Epidemiology
Where can you look at disease distribution?
· Globally
· Regionally
· Locally
Why do we need to study populations?
· To find out about risk (diseases, drugs, etc)
· Need to use evidence of what has previously happened to a population to work out how drugs act etc
What is epidemiology?
· Study of incidence, distribution and control of diseases in populations
What are the 3 types of epidemiology?
· Descriptive - Tell us how things are distributed
· Analytical - How we can exploit those distributions to ask questions
· Experimental - Change the distributions ourselves to see what happens
What is incidence?
· New cases of disease within a period
Number initially free of disease
What is prevalence?
· Number of people with a disease at a particular point in time
Total population
How can epidemiology be useful in smoking research?
· Identify cause of disease
· Guides preventative action - Identifies targets for intervention
· Surveillance of populations and smoking can measure effects of intervention
Illness behaviours
What is illness behaviour?
· The way in which symptoms may be differently perceived, evaluated and acted upon by different kinds of persons
What is the symptom iceburg?
· Only a small minority of symptoms are seen by health professionals
· Patients only report 5-15% of symptoms
Who is most health care word done by?
· Lay people - lay referral system
What is the lay referral system?
· People talk to other people (lay people) before seeking help
Give examples of lay people?
· Friends
· Relatives
· Pharmacists
What demographic/social factors influence help seeking and illness behaviouir?
· Gender
· Age
· Social class
· Race
· Culture
What are Zolas triggers to help seeking behaviour?
· Interference with work or physical activity
· Interference with social relations
· Interpersonal crisis e.g. death in family
· Putting a time limit on symptoms
· Sanctioning - relative/friends tell them to seek help
What influences health seeking behaviour?
· Perception and evaluation of symptoms
· Perceived risk
· Previous experience
· Psychological factors - Fear of what it might be
· Denial
· Concern about using NHS resources
What barriers are there to help seeking?
· Provision and availability of services
· Car ownership, transport cost, availability
· Disruption to work
· Attitudes of staff - Previous bad experience
· Inverse care law - Better off areas get better health provision that poorer areas
· Geographical distance
· Time, effort
· Long waiting times
Health promotion
What is health promotion?
· The process of enabling people to increase control over, and to improve, their health
What are WHOs 5 aspects of health promotion?
· H - Healthy public policy
· A - Action in the community
· R - Re-orientating health services
· P - Personal skills
· S - Supportive environment
What are the four different approaches to health promotion?
· Medical - Focuses on disease and prevention
· Behavioural - Focuses on attitudes and lifestyles
· Client-centred - Focuses on empowering individuals
· Societal - Focuses on political and social action
What is primary health prevention?
· Aims to prevent onset of disease
· Screening risk factors
· Health protection
· Health education
What is secondary health prevention?
· Detect and cure disease at early stage
· E.g. cancer screening
What is tertiary health prevention?
· Minimise the effects or reduce the progression of irreversible disease
What is beatties's typology of health promotion?

What is health persuasion?
· Includes mass media campaigns, such as sexual health and health eating
· For example, 5-a-day TV campaign
What is legislative action?
· Passing a law to promote health
· For example, laws that subsidise the price of healthy food
What is personal counselling?
· Opportunistic prevention in consultations
· For example, working with dietician on food
What is community development?
· Locally based initiatives
· For example, communities producing and distributing food themselves
What is health education?
· Learning experiences designed to facilitate voluntary actions conductive to health
· Happens through mass media campaigns and through advice from health professionals
What is health protection?
· Legislation to protect public health
· Includes seat belts, smoking in public
What is prevention paradox?
· A preventative measure which brings much benefits to the population but offers little to each participating individual
What is advocacy for health?
· A combination of individual and social actions designed to gain political commitment, policy support, social acceptance and systems support for a particular health goal or programme
What is empowerment for health?
· In health promotion, empowerment is a process through which people gain greater control over decisions and actions affecting their health
What is enabling?
· In health promotion, enabling means taking action in partnership with individuals or groups to empower them to promote and protect their health
What is health literacy?
· Health literacy represents the cognitive and social skills which determine the motivation and ability of individuals to gain access to, understand, and use information in ways which promote and maintain good health
Social inequalities in health
What are social inequalities in health?
· Differences in people's health linked to social inequalities in their lives
Are new diseases inversely related to social class?
· No, but as disease progresses the social gradient tends to re-emerge
What is the gini coefficient?
· Measure of inequality
· Area between Lorenz curve and perfect distribution
Give some examples of social inequalities in health?
· Routine manual workers have higher chance of infant mortality
· Mortality from injury and poisoning in children is higher is lower social groups
· Teenage pregnancy more common in lower social groups
What did the black report show?
· Confirmed social health inequalities are involved in mortality
· Shows health inequalities were widening
When was the black report published?
· 1980
What are the 4 explanations of socioeconomic inequalities in the black report?
· A statistical artefact
· Natural selection - People's health drives their social class, healthy people are more likely to get promoted, while unhealthy people are more likely to lose their jobs
· Result of differences in health behaviour
· Poverty causes poor health
How do childhood circumstances influence inequalities?
· Childhood is a period of rapid development and heightened sensitivity to environmental influences
· Father's occupation at birth is a strong indicator of life expectancy
Name some government initiatives to help reduce child poverty?
· National minimum wage
· Increase child benefit
· Increase income support
· Teenage pregnancy strategy
Why has child poverty increased?
· Unemployment/part-time work
· Lower pay
· More single parent families
· Freezing or abolition of some benefits
· More indirect taxation
What is the marmot report 2010?
· Proposes evidence based strategy to address health care inequalities
What are the 6 policies of the marmot report?
· Create and develop healthy and sustainable places and communities
· Ensure healthy living standard
· Enable everyone to maximise capabilities and have control over lives
· Fair employment and good work for all
· Give child best start to life
· Strengthen the role and impact of ill-health prevention
Culture
What is culture?
· System of knowledge, experience, belief, attitudes, meanings, signs, and symbols shared by a group of people
What is enculturation?
· Process of learning your own groups culture
What is acculturation?
· Process of taking on another groups culture
Complementary and alternative medicine
Why do people self care?
· Many people will self treat before seeing a doctor
· Many cultures have strong non-western medical traditions
Why are CAMs used?
· Easily accessible
· Control over treatment
· Dissatisfaction with health care
· Poor doctor-patient relationship
· Desperation
· Perceived effectiveness and safety
Decisions and evidence
What is diagnosis?
· Determining the nature of a disorder by considering the patient's signs and symptoms, medical background, and test results
What is prognosis?
· Assessment of future course of patients disease and management
Why is prognosis important?
· It can help diagnostic and treatment decisions
· It is important for patients to know the likely course of their disease
What are the types of theory that decision making focuses on?
· Descriptive - What are you doing?
· Normative - What should you be doing?
· Prescriptive - How can we improve what you are doing?
What is the hypothetico-deductive model?
· Cue acquisition
· Hypothesis formation
· Cue interpretation
· Hypothesis evaluation
Who uses the hypothetico-deductive model?
· Inexperiences clinicians
· Experiences clinicians with a problem they don't recognise
What is broad evidence?
· Any factor that can and should influence clinical decision making
What is narrow evidence?
· Results of rigorous clinical trials and observational studies
What is the hierarchy of evidence?
· Lists the types of study design ranked in order of their perceived ability to provide evidence for use in practice
Where can good evidence be found?
· Cochrane database
· Evidence based journals
· Medline
Consent
What is consent?
· Voluntary agreement given by a competent patient that has been fully informed
What are the 3 requirements for valid consent?
· Informed
· Voluntary
· With capacity
What are the 4 forms of consent?
· Oral
· Written
· Implied
· Expressed
What information does the patient require as part of the consent process?
· Potential benefits
· Potential risks
· Alternative treatment options
When is consent required?
· Before examination
· Before treatment or care
· Disclosure of confidential information
· Screening
· Teaching
· Research
Why is consent needed?
· Improves trust between patient and doctor
· Legal requirement
· Respects autonomy
· Professional duty
What is the Bolam principle?
· Practitioners are not negligent if they act in accordance with the practice accepted by a responsible body of medical opinion
What is battery?
· If a person touches another person without consent
What is negligence?
· The concept of failure to exercise care
What is capacity?
· Determined by a physician, refers to an assessment of the individual's ability to understand, appreciate, and manipulate information to form rational decisions.
Which act focuses on who has capacity?
· Mental capacity act 2005
Who does the mental capacity act apply to?
· People who are 16 and over
Which act says a 16 year old has full capacity?
· The family law reform act 1969
What is Gillick competency?
· Child (under 16) can consent to medical treatment if deemed competent by medical professional, without need for parental permission or knowledge
Self medication
What is a POM?
· Prescription only medicine
What is a P drug?
· You can get it from a pharmacy under the supervision of a pharmacist
What are OTC drugs?
· Over the counter, can be purchased without prescription
Why are P drugs used?
· Pharmacists can ask customers questions about who it is for, symptoms, etc
· Ensures no 'red flags' about how long the patient can use it for
· Duration of a symptom may mean it is not safe to self treat
Who are the MHRA?
· Medicines and healthcare regulatory authority
When can a POM change to a P?
· No danger when used correctly without the supervision of a doctor
When can a P change to OTC?
· Safe to sell without the supervision of a pharmacist
Name 3 community pharmacy teams?
· Minor ailment schemes
· Emergency contraception
· Smoking cessation
· Health education
Self medication scale of analgesics say that the belief of patients can fit into 3 categories?
· People reluctant to take mild analgesics
· People who 'don't think twice' about taking mild analgesics
· People who prefer to let pain 'run its course'
Statistics
What is quantitative data?
· Discrete - Only certain values possible
· Continuous - Any value is possible
What is qualitative data?
· Multinomial - Categories aren't ordered
· Ordered - Categories exhibit logical order
· Dichotomous - Two categories that oppose
What are descriptive statistics?
· Data is collected and summarised and described in terms of means, SDs etc
What is ecological fallacy?
· Inferences about nature of individuals are deduced from inference for the group to which they belong
What are inferential statistics?
· Using statistical tests to make generalisations about a population
What is nominal data?
· Categorical eg sex
What is ordinal data?
· Categories ordered in value eg degree of pain
What is interval data?
· Continuous data with equal intervals eg height, age, weight
What are measures of location?
· Mean - Average of all observations
· Median - Midpoint of the data set
· Mode - Most frequent observation
What are measures of dispersion?
· Standard deviation
· Interquartile range
· Range
What is a hypothesis?
· An idea expressed in such a way that it can be tested and refuted
What is a null hypothesis?
· The hypothesis that there is no difference between two groups
What is a P value?
· The probability that the difference between groups would be as big or bigger than that observed if the null hypothesis is true
At what point is statistical significance generally accepted?
· P=0.05
· Strong evidence against the null hypothesis, can reject the nulll hypothesis
· Statistically significant
What is standard error?
· Describes how good a given estimate is
· Tells you how good your sample statistic is
· Looks at how accurate your estimation of the mean is
What is a confidence interval?
· Range of values that we think contain the mean
What are confidence limits?
· The actual upper and lower boundaries that state the boundaries of the confidence interval
Race and ethnicity
What is the difference between race and ethnicity?
· Race is genetic
· Ethnicity is socially determined
How is ethnicity important in medicine?
· Disease prevalence varies with ethnicity
· Approaches to best treatment may vary with ethnicity
· Affects behaviour towards others
· Can look at the patient according to their own values
What is ethnocentricity?
· Judging one culture based on the values of another
Which anaemias are genetic?
· Sickle cell disease
· Thalassaemia
What are the primary, secondary, and tertiary management principles associated with sickle cell?
· Primary - Carrier screening
· Secondary - Postnatal screening
· Tertiary - Treatment, preventatives, therapeutics
Should we screen everyone?
· Cost - It would cost a lot of money
· Could be seen as racist - Screening certain ethnic groups, impression of ethnic minorities being sicker/bringing in disease
· How do we determine ethnicity so know who to screen?
Putting a figure on risk
What is risk?
· Probability that an event will occur during a specified time
· Only works if a time period is fixed
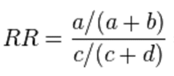
Relative vs absolute risk?
· Relative - The ratio of the probability of developing an outcome in those exposed compared to those not exposed (risk ratio)
· Absolute - Risk of developing the disease over a time period
How to calculate risk ratio?
· Risk in exposed divided by risk in non exposed


· A RR of 1 - No difference in risk between the two groups
· A RR of <1 - The event is less likely to occur in the experimental group than is the control group
What is absolute risk reduction?
· Difference in risk between study and control populations
Confidentiality
What is confidentiality?
· Pledge of agreement to not divulge or disclose information about patients to others
Why is it important to maintain confidentiality
· Improves trust between patient and doctor
· Respects autonomy
· Prevents patient harm
· Virtuous
· Human rights act
· GMC requirement
When can confidentiality be breached?
· Statute (law)
· Consent by patient
· Public best interest
Name some statutes (laws) that oblige doctors to disclose information?
· Public Health Act 1984
· Road Traffic Act 1988
· Prevention of terrorism act 1989
Research methods
What is a cross-sectional survey?
· Descriptive study, observational
· Analyses data from a population at one specific point in time
What is an ecological study?
· Disease rates and exposures are measured in a series of populations and examined
What is a cohort study?
· Can be prospective (looking to future) or retrospective (looking into past)
· Subjects with certain exposure followed over time for outcome occurrence
What is a case control study?
· Looks back to understand risk factors that lead to a particular disease
What is a case report?
· Detailed report of symptoms, signs, diagnosis, treatment, and follow-up of individual patient
What is a qualitative study?
· Seeks to understand people's perspectives and motivations
What is a randomised control trait?
· An experiment where participants are randomly allocated into groups
· Compare experimental group and control group for outcomes
How can we randomise trials?
· Coin toss
· Sealed envolope
· Odd/even date of birth
Why randomise trials?
· Eliminates systematic bias in allocation of interventions
· Basis for statistical tests
What types of bias are there in RCTs?
· Selection bias - Systematic error in creating intervention groups
· Ascertainment bias - Systematic distortion of the results of a randomised trial as result of knowledge of the group assignment
· Performance bias - Systematic differences in the care provided to the participants in the comparison groups other than the intervention
What is temporal change?
· People get better or worse irrespective of medical intervention
· Hard to distinguish whether medical action or temporal change is responsible
What is regression towards the mean?
· If a variable is extreme on its first measurement, it will tend to be closer to average on its second
What is statistical power?
· The probability of rejecting a null hypothesis when it is false
Activities of daily living
What are activities of daily living?
· Everyday tasks and functional activities that are an essential part of life
What is impairment?
· A physical loss/functional deficit
What is disability?
· A restriction or inability to do something as a result of an impairment
What is a handicap?
· Disadvantage from impairment that limits/prevents the fulfilment of a role that is normal for that individual
What are the major roles of physiotherapists?
· Impairment assessment
· Management of condition
What are the major roles of occupational therapists?
· Functional assessment
· Occupational assessment
Name some measures that assess activities of daily living?
· Measures of disability - Barthel Index, SF36
· Observation
· History taking
· Clinical examination
What is the biopsychosocial model?
· Individuals must be an active participant in their own rehab and recovery
· Management must relieve pain and prevent disability
Disability and impairment
What is the medical model of disability?
· Emphasis on what is wrong with the person
· Exclusion from society
· Views disability as a tragedy
· Puts disability between the patient and the doctor
Historical factors which led to the development of the 'medical model'?
· Industrial revolution
· Advances in technology
· Social darwinism
Criticism of medical/individual model of disability?
· Looks at disability as a tragedy
· Doesn't look at the person as normal in society
· Sees disability as a medical problem that doctors have to fix
Outline the social model of disability?
· Discrimination arises because of the organisation of society
· Society fails to make activities accessible
Criticism of the social mode of disability?
· Looks at disability as though impairment can never cause an individual problem but society can
· Doesn't fully appreciate the complexity of different disabled peoples liver
What is the interaction mode of disability?
· Looks at interactions between people's impairments and the environments they live in
· Sees disabled people as individuals
· It is person-centred
What is social contructionist?
· There is no such thing as a disabled individual but that society makes people individual
Which act gives rights to disabled people?
· Disability discrimination act 1995
What act defined disability as 'a physical or mental impairment that has substantial and long term negative effects on your ability to do normal daily activities'?
· Equality act 2010
What are the measures for assessment of diability?
· Barthel Index
· SF36
· Functional assessment measure
Informal care
What is a carer?
· A person who, without payment, provides help and support to a partner, child, relative, friend, or neighbour who could not manage without their help
What is care poverty?
· Cannot work because you are caring
What are the effects of caring on health?
· High levels of physical/mental health problems
· Carers often don't have enough time to look after their own health
Legislation that supports carers?
· Employment act
· Carers and disabled children act
· Carers act
· Equality act
What are the rights of carers?
· Assessment of needs in their own right
· Carers special grant
· Made aware of their entitlement in assessment
· Assessments must consider carers' wishes about employment, training, etc
What is carers' special grant?
· Funding for respite and short breaks for carers
What financial support is there available for carers?
· Carer's allowance - For people who regularly spend at least 35 hours a week caring for someone with a severe disability who receives a qualifying disability benefit
· Disability living allowance - Many carers not only look after someone but are ill themselves
· Attendance allowance - Benefit for severely disabled people aged 65 or over who need help with personal care
Unmet needs of carers?
· Information and advice
· Practical and emotional support
· Training in caring activities
· Respite care and short breaks
What are the needs of specific groups of carers?
· Parents of disabled children - Access of mainstream services
· Rural carers - Information and advice, transport
· Black and ethnic minority carers - Language issues, culturally sensitive services
· Young carers - Information and advice, emotional and practical support, help with transition into adulthood
Challenges of carers?
· Employed - Juggling work and care, time off work, being contacted
· Carers of dementia patients - Practical support, help with emotional stress, respite care
· Carers of mental health patients - Stigma and discrimination, confidentiality, respite care
What employment related policies are there for carers?
· Time off for dependents
· Flexible working regulations
· Work and families act 2006
Justice and rights in healthcare
What is justice?
· Treating people in a way that is fair and equitable
What is distributive justice?
· How we distribute resources that are finite in a fair way
What is equality?
· Being the same in quantity, amount, value, intensity
What is equity?
· Fairness or impartiality
What is the needs-based assessment for distribution of healthcare?
· Health care distributed to those who need it most
What is the difference principle?
· Only permits inequalities that work to the advantage of the worse off
How can you decide ways to distribute healthcare?
· QALY calculation
· Waiting list
· Likelihood of complying with treatment
· Lifestyle choices of patient
· Ability to pay
What is the Libertarian argument?
· Some people are poor because they don't work hard enough, or cause their own needs (eg by smoking)
What is a lifestyle-based assessment?
· Allocating resources should take into account lifestyle choices patients make
Arguments for lifestyle-based assessment
· People who contribute to ill health are less deserving of resources for treatment than those who don't
· Deterrence - It is more likely to deter people from damaging their health
· You are also more likely to get more benefits from a treatment in people who don't
Arguments against lifestyle-based assessment
· Not everyone purposely engages in high risk behaviour and is not responsible for their actions
· Unfair to punish people
· Deemed unacceptable by the GMC to use lifestyle based approach
What rights does a person have in relation to resource distribution?
· Legal rights
· Natural moral rights
· Human rights
What are status theories?
· Humans have certain qualities/attributes that make it fitting to assign rights to them
What are instrumental theories?
· The purpose of rights is to promote a certain state of affairs which is seen as good
· If we have a system that recognises rights, it will lead to a much happier society
What are positive rights?
· Confer some sort of duty to someone
What are negative rights?
· Others have to refrain from doing something
What are active rights?
· Allow people to act or not act as they choose
What are passive rights?
· The rights not to be done to by others in certain ways
Why are rights important?
· You know where you stand in society as a citizen, and you can feel secure
· Protective boundaries - Limits actions of others
· Sets minimal standard
What are the main 2 aims of the human rights act?
· To make it possible for people to directly raise or claim their human rights within complaints and legal systems in the UK
· To bring about a new culture of respect for human rights within British Law, not just about public authorities complying with the law
Risk, medicine and society
What is risk?
· Probability that an event will occur during a specific time
What is Beck's risk society?
· The manner in which modern society organises in response to risk
· Risk now viewed as a product of human action
What are the paradoxical outcomes of risk assessment?
· We feel more vulnerable to risk
What is the precautionary principle?
· Action shouldn't be taken if the consequences are uncertain and potentially dangerous
What is medicalisation?
· Non-medical problems become defined and treated as medical problems
What is pharmaceuticalisation?
· Transformation of human condition into opportunities for pharmaceutical intervention
What factors did McKeown he argue improved health?
· Environment - Nutrition and hygiene
· Behavioural - Reproduction
· Medical - Immunisation
· Public health
What is clinical iatrogenesis?
· The injury done to patients by ineffective, toxic, and unsafe treatments
What is social iatrogenesis?
· Results from the medicalisation of life
What is cultural iatrogenesis?
· The destruction of traditional ways of dealing with and making sense of death, pain and sickness
Stigma
What is stigma?
· A mark of disgrace associated with a particular circumstance, quality or person
What is social constrictionism?
· The enactment of stigma is about social interaction - It is about people's responses to behaviour or physical appearance
What is the process of producing stigma?
· Labelling - Label human difference
· Stereotyping - Differences link to characteristics
· Othering - Separating yourself, 'us and them'
· Stigmatising - Devaluing people based on 'undesirable' attributes
· Discrimination - Acting differently towards people based on attribute/behaviour
What are the types of stigma?
· Discreditable - Keeping stigma hidden
· Discrediting -Stigma that can't be hidden
· Felt - Shame you feel as a result of stigma
· Enacted - Discrimination by others
· Courtesy - Felt by someone with a person who is stigmatised (eg parent of autistic child)
Stress, physical illness and coping
What is stress?
· An imbalance between the demands made on us and our personal resources to deal with these demands
Primary vs secondary appraisal of stress?
· Primary - Appraisal of event
· Secondary - Appraisal of personal coping skills
What are the 4 components of the stress response?
· Emotional - Feeling sad, over-reacting
· Cognitive - Cannot concentrate, sensitive
· Behavioural - Eating, smoking
· Physiological - Heart rate, breathing, perspiration
What is symptoms amplification?
· Misinterpretation and amplification of symptoms due to stress and other psychological factors
· Occurs due to tendency to worry, mental illness, illness beliefs
How do medically unexplained symptoms arise during times of stress?
· Misinterpretation of normal bodily sensations
· Exaggeration of minor pathology due to stress
What is illness cognitions?
· A patient's own implicit common sense beliefs about their illness
What are Leventhal's 5 dimensions to illness cognition?
· Identity
· Consequences
· Cause
· Control/cure
· Timeline
What are positive coping strategies to illness?
· Problem-solving - Controlling problem and reconstructing it as manageable, seeking information and support
· Emotion focused - Involves managing emotions and maintaining emotional equilibrium
What are negative coping strategies to illness?
· Problem focused - Focuses on problem, unlikely to help reduce stress
Medically unexplained symptoms
What are medically unexplained symptoms?
· Physical symptoms not explained by organic disease
What is disease?
· Discrete pathological processes within the body with clinical signs
What is illness?
· Sufferer's subjective experience
What are the main problems with medically unexplained symptoms?
· Patient presents with symptoms and doctor tries to treat disease, despite there not being one
What are the consequences of living with MUS?
· Uncertainty - no diagnosis or prognosis
· Lack of social support
· Can't enter the sick role
· Strained social and family relations
What are the doctors assumptions about MUS?
· Explanation lies with the patient
· Patient's deny a psychological cause
· They want a cure and diagnosis
· They get physical intervention because they demand it
· Doctors should help patients to appreciate psychological factors
What does the patient want?
· Alliance with the doctor over problems
· Wants the doctor to recognise they are suffering and it's not their fault
· A convincing explanation that is plausible and credible
What is exculpation?
· Recognise reality of suffering and exculpate symptoms by confirming that they are not the patients responsibility
What is a rejective response?
· Doctor denies the reality of the disorder and implied it is a stigmatising psychological problem
What is a collusion resopnse?
· Using explanations about blood pressure and serotonin to push antidepressants
What is an empowering response?
· Legitimises patients suffering, exculpation
Addiction
What is addiction?
· Continued repetition of a behaviour despite adverse consequences
What are the symptoms of dependence syndromes?
· Salience
· Compulsion
· Tolerance
· Withdrawal
· Relief after abstinence
· Narrowing of repertoire
· Reinstatement upon absence
What factors make a drug addictive?
· Pleasure producing potency
· Rapid onset of action
· Short duration of action
· Tolerance and withdrawal
What maintains addiction?
· Personality factors
· Social factors
· Withdrawal symptoms
What are the symptoms of end stage addiction?
· Overwhelming desire to take drug
· Almost automatic habit
· Can be triggered by cues many years after abstinence
Cause and effect
What is the importance of causation?
· Explains why things happen
· Prevents disease by removing cause
· Improve treatments through greater understanding of natural history of disease
How do you prove causation?
· Find association
· Consider cause of association
· Use bradford hill criteria to inform decision
What is chance?
· The effect of random chance in finding a significant result
What is bias?
· Error in the collection and analysis of data
What is confounding?
· Both factors not directly associated, but linked by a third factor
What is flasifiability?
· We can rarely prove things are true, but can easily prove things are false
What is statistical significance?
· Strength of association gained by hypothesis testing
What is clinical significance?
· Practical importance of treatment effect, whether it has a noticeable effect on everyday life
Name the Bradford-Hill criteria?
· Strength of association
· Specificity - Does A always only cause B?
· Temporal association - effect has to come after cause
· Theoretical plausibility
· Consistency - Do you always find the same relationship?
· Coherence - Does the data fit in with what we know now?
· Dose-response relationship - Does greater exposure lead to greater effect?
· Experimental evidence - Can we test this experimentally?
· Analogy - If A causes B, does something similar to A cause something similar to B?
Chronic illness
What is a chronic condition?
· Long term illness expected to last 12 months or more
What are the characteristics of a long term condition?
· Uncertainty - Diagnosis, prognosis, complications, etc
· Involves high levels of self management
· Can have consequences for employment
· Can be a source of embarrassment or stigma
· Can have impact on social life
· Can impact self identity and personal relationships
What are the positive consequences of being diagnosed?
· Relief
· Access to sick role
· May result in employment rights, welfare benefits
· Accepted as ill be friends and relatives
· Access to information
· Access to support groups
What are the negative consequences of being diagnosed?
· Face new set of uncertainties - prognosis etc
· Stigma
· Possible limitations on paid work
· Worry about being able to fulfil obligations e.g. look after children
· May have to claim benefits
· Worry about complications
· Worry about being able to deal with medications
What uncertainty comes with chronic illness?
· Social - Employment, finance, etc
· Clinical - Prognosis
· Diagnosis
· Psychosocial - Sense of self and identity
What is biological disruption?
· Sees chronic illness as disruptive event
· Disrupting structures of everyday life
· Onset of chronic illness can affect upon a person's sense of self and their identity
What is biographical continuity?
· Biographical distribution based on adult-centred model
· It is a part of themselves since birth
· Older adults will usually maintain the same activities, behaviours, relationships as they did in their earlier years of life
What factors affect self-management of a long term illness?
· Relationship with doctor
· Good experience with doctor in the past
· Drugs best avoided
· Experience of symptoms when they don't take them
· Gender role
Loss and bereavement
What are the typical grief reactions?
· Affective - Depression, distress, guilt
· Cognitive - Denial, lowered self-esteem
· Behavioural - Fatigue, aggitation, social withdrawal
· Psychological - Loss of appetite, weight loss
· Immunological - Disease, illness
Which part of the brain is involved in grief?
· Nucleus accumbens - Associated with reward and motivation
Describe the nature of grief?
· Universal - e.g. crying
· Culturally determined - Time of grief varies
· Biological
Name Bowlby's stages of grief?
· Numbness
· Yearning/searching
· Despair
· Reorganisation
What is complicated grief?
· Impaired by prolonged guilt
· Symptoms - depressive thoughts, anxious, painful memories
Health psychology
Define health behaviour?
· Activity people perform to maintain or improve health
Why study health behaviour?
· Treatment protocols are behaviours
· Rising medical costs
· Aging population
What is social cognition theory?
· Attitudes are developed and modified based on assessments about beliefs and values
Name the theories of predicting and changing health behaviours?
· Transtheororetical model
· Health belief model
· Theory of planned behavour
Guidelines
What are guidelines?
· Systematically developed statements to assist practitioner and patient decisions about appropriate healthcare specific clinical circumstances
Why do we have guidelines?
· To allow practice to be more evidence-based
· Enable care to be more consistent across the country
How should a guideline be developed?
· Systematically
· Using a formal and explicit process
· Address relevant clinical question
· Use the best evidence to address each question
How do you determine the quality of a guideline?
· Application
· Clarity of representation
· Rigor of development
What is a clinical protocol?
· Plan to be followed in patient care (more prescriptive that guideline)
Systematic reviews
How do you identify all relevant studies in systematic reviewing?
· Search relevant databases
· Develop complex search strategy
· Include unpublished data
Methods of quality assessment?
· Randomisation
· Allocation concealment
· Blinding
· Withdrawals and intention to treat analysis
What is heterogeneity?
· Similarity of studies
What is publication bias?
· Not all clinical studies get published
What is sensitive analysis?
· Tests if results are sensitive to restrictions on data