NEWTON'S LAWS
IMPORTANT KEYWORDS:
1.FORCES:
Normal force: The force exerted by a surface on an object it is in contact with.
Net force: The combined effect of all the forces acting on an object.
Weight: The gravitational attraction that pulls on an object towards the Earth.
Weightlessness: The property where a body has no force supporting it, meaning it is in free fall.
Frictional force: The force that opposes the motion of an object in contact with a surface.
Static Friction (Fs): The force that must be overcome to move a stationary object.
Kinetic Friction (Fk): Force that slows an object down
Inertia: the inherent property of matter to resist changes in its state of motion, including changes to speed or direction
Mass: The quantity of matter of an object.
Diagrams:
Free body diagram:

Force Diagram:

Laws:
Newton’s First Law: An object continues in a state of rest or velocity unless it is acted upon by an unbalanced force.
Newton’s second law: When a net force is applied to an object of mass, the object will accelerate in the direction of the net force applied, the acceleration is directly proportional to the net force and inversely proportional to the mass of the object.
Mathematically: Fnet = m.a
Newton’s third law: When object A exerts a force on object B, Object B simultaneously exerts an oppositely directed force of equal magnitude on Object A.
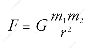
Newton’s law of Universal gravitation: Every particle in the universe attracts every other particle with a force that is directly proportional to the square of distance between them.

Formula for calculating the gravitational force of an object: g=\frac{Gm1}{d^2}
Important Notes:
When an object is on a horizontal surface its weight and normal force are equal in size.
N = W N = m.g
When an object is on an inclined surface. The weight splits into 2 components.
W parellel (W//) : Parallel weight pulling the object down the slope. Which can act as both an opposing force or applied force. W// = W.sin A
W perpendicular : Perpendicular weight, pushes the objects into the ramp or surface. N = W.cos A
Scenarios:
Force acting on an angle:

Remember:
Fx = F. sin A
Fy = F.cos A
2. Two blocks hanging

In the 60kg block:
T (Tension) acts as an opposing force.
Weight acts as the applying force.
In the 40 kg block:
T (Tension) acts as the applied force
Whereas weight is an opposing force