Home
2.2 Expanding and Factorising
2.2 Expanding and Factorising
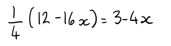
Expanding
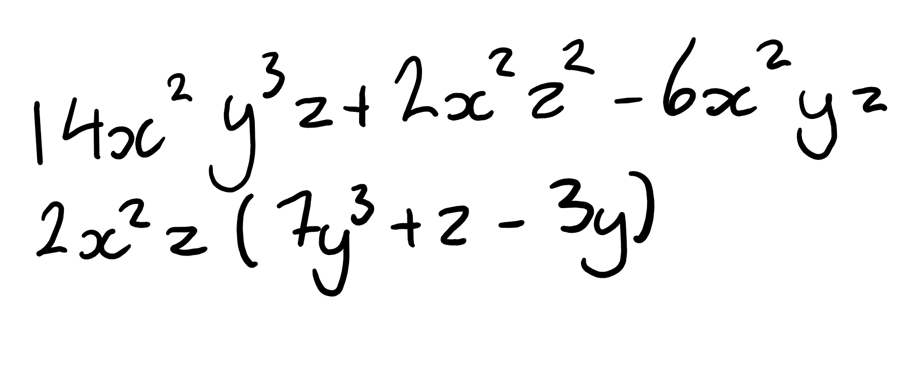
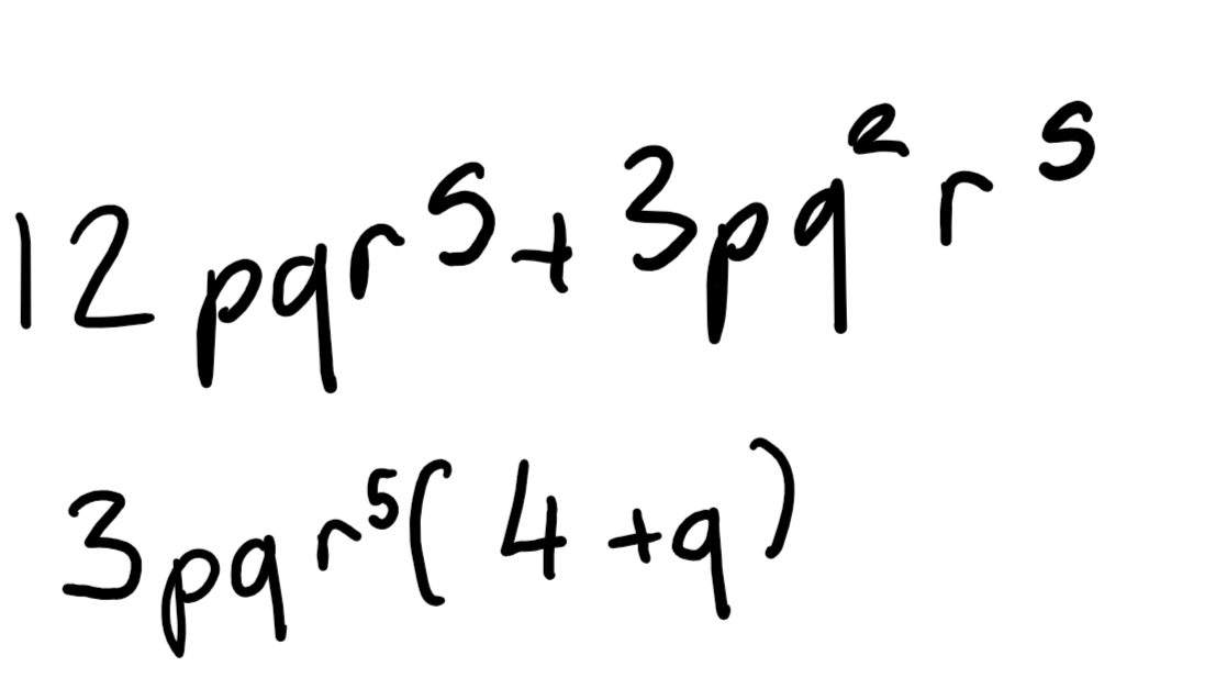
Factorising