Lipid Digestion
Classes of Lipids
Fatty Acids
Triacylglycerides (TAG)
Phospholipids
Sphingolipids
Free Sterols
Sterol Esters
Functions of Lipids
Structural Components of Cell Membranes
Provide integrity and fluidity to membranes.
Energy Storage
Serve as an efficient energy reserve for the body.
Provide Lubrication
Important in joints and for skin health.
Signaling Molecules
Involved in cell signaling processes.
Receptors
Antigens
Sensors
Electrical Insulators
Essential for proper nerve function.
Biological Detergents
Help in emulsifying fats in digestion.
Membrane Anchors for Proteins
Fatty Acids Overview
Specific Fatty Acids
Name | Notation | Source |
|---|---|---|
Lauric acid | 12:0 | Coconut and palm kernel oil, milk (dairy) |
Myristic acid | 14:0 | Coconut & palm oil, milk (dairy) |
Palmitic acid | 16:0 | Animal and plant fats |
Stearic acid | 18:0 | Animal fats, some plant fats |
Arachidic acid | 20:0 | Peanut oil |
Linoceric acid | 24:0 | Most natural fats, peanut oil in small amounts |
Palmitoleic acid | 16:1 Δ-9 | Marine animal oils, small amounts in animal & plant oil |
Oleic acid | 18:1 Δ-9 | Plant and animal fats |
Linoleic acid | 18:2 Δ-9,12 | Corn, safflower, soybean, cotton & sunflower seeds, peanut |
Linolenic acid | 18:3 Δ-9,12,15 | Linseed, soybean, and other seed oil |
Arachidonic acid | 20:4 Δ-5,8,11,14 | Animal fats in small amounts |
Eicosapentanoic acid (EPA) | 20:5 Δ-5,8,11,14,17 | Cold-water fish, such as salmon |
Docosahexanoic acid (DHA) | 22:6 Δ-4,7,10,13,16,19 | Cold-water fish, such as salmon, originates in algae |
Lipid Composition in Adipose Tissue of Rats (µg/protein mg)
Cholesterol: 43
Total Phospholipids: 180
Phosphatidylcholine: 90
Phosphatidylethanolamine: 45
Phosphatidylserine: 16
Phosphatidylinositol: 10
Sphingomyelin: 5
Other phospholipid: 12
Lipid Digestion
Dietary Lipids: Predominantly TAGs
Average Intake: 33% of caloric intake
Effectiveness of Digestion and Absorption: Very high, primarily occurs in the stomach and small intestine.
Mostly in the small intestine
Digestive Enzymes Involved in Lipid Digestion
Gastric Lipase:
Hydrolyzes sn-3 ester bond.
Does better on medium chain FA compared to long chain FA
Pancreatic Lipase:
Hydrolyzes sn-1 and sn-3 ester bonds; also acts on retinyl esters; requires colipase.
Pancreatic Lipase-Related Protein 2:
Has a broad activity.
Carboxyl Ester Lipase:
Exhibits broad activity.
Pancreatic Phospholipase A2:
Hydrolyzes sn-2 of phospholipids.
PLRP2 (Pancreatic Lipase-related protein 2)
acts as a versatile lipase, specifically essential for fat digestion in newborns, including milk fat globules
Phospholipase B:
hydrolyzes the sn-1 and sn-2 positions of phospholipids, further contributing to the digestion and absorption of dietary fats.
Sphingomyelinase:
catalyzes the breakdown of sphingomyelin into ceramide and phosphocholine, playing a crucial role in the metabolism of cell membranes and lipid signaling.
Lactase-phlorizine hydroiase
catalyzes the hydrolysis of lactose into glucose and galactose, thereby facilitating the digestion of dairy products and providing essential energy sources.
Ceramidase
catalyzes the hydrolysis of ceramide into sphingosine and free fatty acids, which is critical for maintaining cellular homeostasis and regulating various signaling pathways associated with cell growth and apoptosis.
Enterocytes
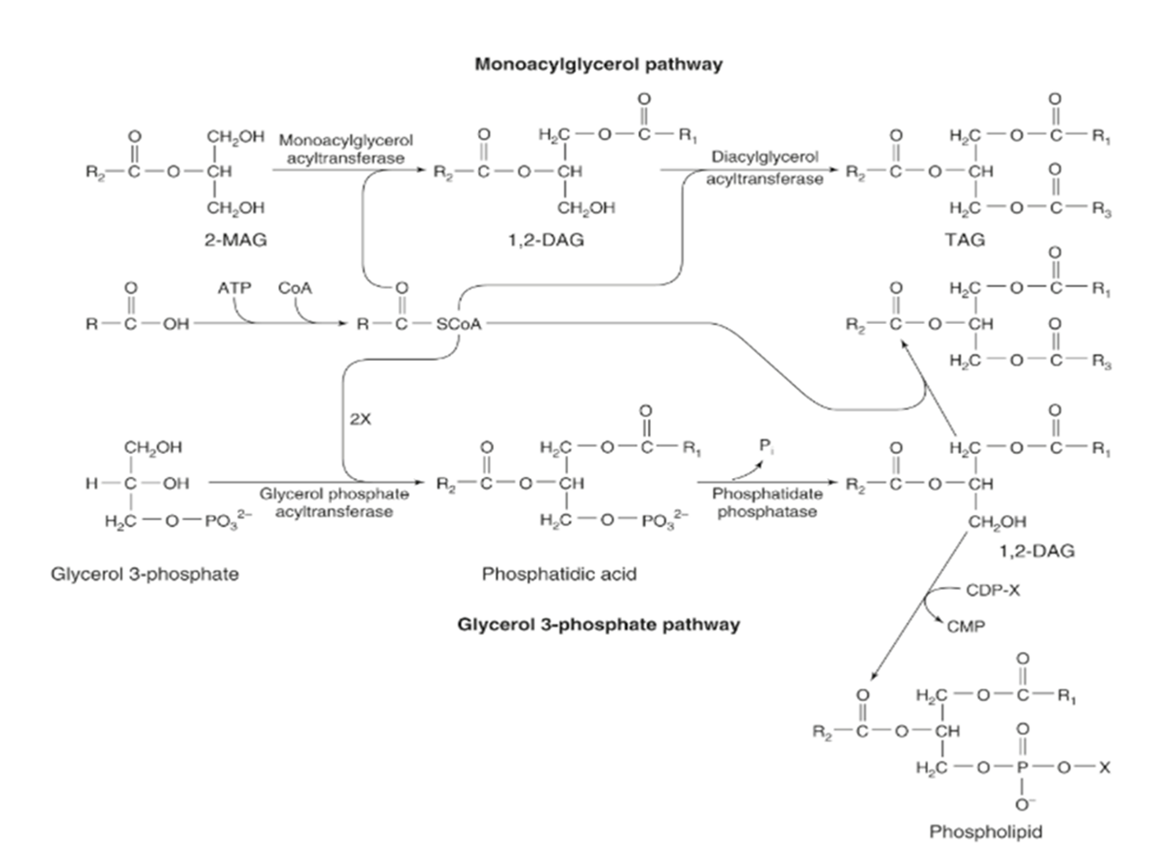
Monoacylglycerol Pathway
Glycerol 3-phosphate pathway
Lipids are either absorbed as MAG or free FA
Dietary Composition (g)
Triacylglycerol: 70-100 g
Phospholipids: 1-2 g
Sphingolipids: 0.3-0.4 g
Cholesterol: 200 g
Cholesteryl Esters: 25-40 g
Plasmalogens: 0.01-0.1 g
Digestive Process Overview
MOUTH
Initial Digestive Action: Gastric lipase acts on dietary TAG and galactolipids (MGDG, DGDG) in the stomach.
SMALL INTESTINE - LUMEN
Digestive Enzymes Activity:
Pancreatic lipase, PLRP2, and carboxyl ester lipase act on TAG to produce 1,2-DAG + FA
1,2-DAG is further hydrolyzed to 2-MAG + FA and then to glycerol + FA
Phospholipase A2 hydrolyzes phospholipids to produce lysophospholipids + FA.
Sphingomyelin is converted to ceramide + phosphocholine.
Cholesteryl esters are converted to cholesterol + FA.
Retinyl esters are converted to retinol + FA.
MGDG and DGDG are hydrolyzed into monoglycerides and free fatty acids.
ENTEROCYTES - BRUSH-BORDER MEMBRANE
Enzyme Activities:
Phospholipase B converts phospholipids to lysophospholipids + FA.
Sphingomyelinase breaks down sphingomyelin into ceramide + phosphocholine.
Lactase-phlorizine hydrolase acts on glycosylceramide and galactosylceramide.
Intracellular Lipid Metabolism
Pathways for Re-esterification
Monoacylglycerol Pathway:
2-MAG + 2 FA-COA → TAG + 2 COA
Glycerol 3-Phosphate Pathway:
Glycerol 3-phosphate + 3 FA-COA → TAG + 3 CoA + P
Lysophospholipid Pathway:
Lysophospholipid + FA-COA → Phospholipid - COA
Cholesterol Esterification:
Cholesterol + FA-COA → Cholesteryl ester + COA
Involves ApoB-48, ApoA-IV, and ApoA-I in chylomicron synthesis.
Chylomicrons
Synthesis Location:
Synthesized in the small intestine (SI)
Components:
Contain apolipoprotein B-48, carry dietary lipids, large amounts of TAG along with cholesterol esters (CE) in the core, and non-esterified cholesterol and phospholipids on their surface.
Transport Mechanism:
Absorbed into lacteals in the SI, carried through the lymphatic system to central circulation, and pick up other apolipoproteins while in circulation.
Portal Transport of Fatty Acids
Small amounts of FA taken up into portal blood as NEFA (non-esterified fatty acid [free fatty acid {FFA}])
MCFA and poly-unsaturated LCFA are more readily absorbed in portal blood
MCFA is most absorbed into portal blood
NEFAs transported to liver this way can be re-esterified onto glycerol-3-P and packaged as VLDL
Pathological conditions that impair CM synthesis enhance portal transport of NEFA
Chylothorax is a condition where lymphatic fluid accumulates in the pleural cavity, often leading to impaired lipid absorption and resulting in increased levels of chylomicrons in the bloodstream.
LCHAD Deficiency (Long chain 3-hydroxyacyl CoA dehydrogenase deficiency) is a rare genetic disorder that affects the body's ability to break down certain fats, leading to the accumulation of long-chain fatty acids and impairing lipid metabolism.
Orlistat
Mechanism of Action:
Inhibits both gastric lipase and pancreatic lipase, leading to up to 30% reduction in digestion and absorption of lipids.
Fatty stool
A lot harder to control than normal stool
Absorption Process
Hydrolysis by Brush Border Membrane Enzymes:
Dietary sphingolipids, phospholipids, and retinyl esters are hydrolyzed, allowing absorption into enterocytes.
Transport Mechanisms:
Absorption occurs via passive diffusion and carrier-mediated transport.
FABP - Fatty Acid Binding Protein - a cytoplasmic protein that binds fatty acids and facilitates their transport within enterocytes.
Rapid Re-esterification:
Lipids are quickly re-esterified contributing to concentration gradient within the enterocytes.
MPC1L1
Cholesterol transporter
30-50%
Also plant sterols
~5%
Plant sterols in your diet inhibit cholesterol absorption
MPC1L1 is targeted by medicine Ezetimibe
Lowers absorption for dietary cholesterol

Example Product for Special Needs
Pregestimil®
Target Group:
Infants with fat absorption issues or sensitivity to intact proteins.
Composition:
Contains 55% fat from MCT oil, hypoallergenic, lactose-free, and enriched with DHA and ARA for brain and eye development.
Enfaport™
Target Group:
Designed for infants with Chylothorax or LCHAD deficiency.
Composition:
High levels of MCT oil for better fat absorption, high protein content, includes essential fatty acids, DHA, and ARA.