Acadeca Science section 3: Magnetism
The Magnetic Field: North and South
We refer to magnets as north or south instead of charges
Similar to electricity, with magnets opposites attract and likes repel
In magnetism, there is no “north” particle or “south” particle like there is with protons and electrons in electricity. The fundamental unit of magnetism is called a magnetic dipole
A magnetic dipole is a north and south pole together. There has been no evidence of a magnetic monopole, a particle with only a north or south pole
Magnetic field lines loop around on themselves, the lines come out of the north end and back in on the south

Materials like Iron and Nickel are ferromagnetic , meaning that when they are exposed to a strong magnetic field, their atoms line up with that field and make a permanent magnet
Other materials are paramagnetic, which means they can become magnetized as long as there is a surrounding magnetic field
With paramagnetic objects, the magnetism goes away when the field goes away, so they do not become permanent objects
The Origin Of Magnetic Fields
Since there are no magnetic monopoles, magnetic fields are produced by protons and electrons, just like electric fields.
However, a magnetic field only appears when particles are moving whereas a stationary electron will produce an electric field
The orbital motion of electrons in an atom is essentially what generates a magnetic field
Hans Christian Oersted was the first to observe in 1820 that a wire with current running through it would deflect a compass, creating a magnetic field. This was the first deeper connection between electricity and magnetism
Not only is motion required for charged particles to create magnetic fields, but motion is also required for charged particles to feel magnetic forces.
The magnetic field generated by a moving charge always points perpendicular
to the direction in which the charge is moving.

Is the Magnetic Force Fundamental?
The definition of “moving” is entirely on your POV

This is the same with magnetism, whether a magnetic field appears or not is entirely on the observers POV
This seems to indicate that the magnetic force is not fundamental
The Compass
The word “magnet” originates from the coastal district Magnesia in Greece, where iron-attracting lodestones were found.
Compasses point north due to Earth’s magnetic field. A compass is a magnet with its own north and south pole
The north pole of the compass is attracted to the Earth’s South Pole, while the south pole of the compass is repelled by it.
The Earth’s magnetic field points toward Earth’s South Pole and a compass aligns itself with that since the magnet inside the compass rotate until they are lined up with the surrounding magnetic field
The Earth’s surface is actually broken up into pieces, known as tectonic plates, which slide around next to each other due to the heat of the Earth’s interior. Their sudden movement can cause earthquakes
Earth’s magnetic field reverses polarity which causes ocean floors to be recycled as the tectonic plates along the Atlantic Ocean gradually move apart

Earth’s Protective Force Field
Earth’s magnetic field protects us from many things on the outside. One being the sun
As the Sun rotates, its magnetic field can get twisted by the rotating plasma. This causes patches of the Sun’s surface to get cut off from the rest of the surface and cool off.
These cool spots are also darker than the rest of the Sun, so we call them sunspots

Sometimes, the magnetic field gets so twisted that it gets stretched out, causing chunks of the Sun’s surface to get ejected off the Sun entirely. We call these incidents coronal mass ejections (CMEs).
Every once in a while, one of the chunks will head towards earth. The Carrington Event was a particular big CME that hit earth and caused a bright aurora
When fast moving particles (such as protons and electrons), known as solar wind, fall into the atmosphere, they break apart atoms and turn into ions. These ions capture stray electrons and emit different colors of light. Oxygen tends to glow green and Hydrogen purple
Earth is not the only place with aurora’s, Spacecraft have spotted the same activity on Jupiter and Saturn, which both have strong magnetic fields
The most extreme magnetic fields found in nature come from neutron stars, exposed cores of very massive stars
Electromagnetism: The Magnetic Force
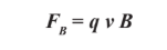
The equation for Magnetic Force is as follows:

Q= The electric charge of the particle experiencing the force
B= The strength of the magnetic field
v= velocity of the particle
B is measured in Teslas, named after Nikola Tesla
The magnetic force only affects moving objects so if v is 0 there is no force
The strength of Earth’s magnetic field, which is enough to turn compasses, ranges from 25 to 65 microTeslas.
The magnetic force involves direction a bit more complicated than the electric force. The direction of the magnetic force is perpendicular to the magnetic field

The net effect, as you can see, is that the magnetic force causes particles to move in a circle
We call this the centripetal force, a force that does not change the speed of an object but only changes the object’s direction
One application of this phenomenon is the mass spectrometer, which can be used to determine the atomic composition of an unknown sample. This experiment turns a sample into an ionic gas, then accelerated by voltage and moved into a magnetic field.
A similar experiment is what led to the discovery of an electron by J.J Thomson in 1897
Solenoids
Remember a current carrying wire can create its own magnetic field
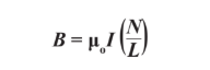
We use Ampere’s Law (named after Andre-Marie Ampere") to determine what the magnetic field around an object looks like
The expression for Ampere’s law is as follows:

B= Strength of the magnetic field
2r= the length around our Amperian loop (what we use to see how the magnetic field changes)
I= current passing through our Amperian loop
u0 = permeability of free space (constant, not important right now)
Solving for B we get:

Although many devices simply use long straight wires, another common orientation is to form multiple circular loops on top of each other, which is known as a solenoid
The magnetic field of a solenoid looks like the magnetic field of a bar magnet

Using Ampere’s law we can derive the following expression for the magnetic field inside a solenoid:

L= Length of the solenoid
N= Number of loops
The tube in an MRI machine is a giant solenoid. The currents inside it are powerful enough to produce a magnetic field between 1-2 teslas
Faraday’s Law
The fact that you can not use a steady magnet to generate current and you need a changing magnetic field was discovered by Michael Faraday in 1831
Faraday was a young bookbinder that got interested in electricity after many lectures. He started working in Humphrey Davy’s lab as his assistant. Faraday had no formal education but proved himself useful
Faraday remained a humble man during his life and he started a series of Christmas Lectures that were open to the public, even children. These lectures are still broadcasted to this day
Faraday found that moving a magnet near a coil of wire will induce voltage, leading to a current. His law is as follows:

0B= magnetic field flux
N= Number of loops
The triangle symbol (delta) in front of a quantity represents a change in quantity
Moving a magnet near a wire results in voltage being generated

A generator is any device that converts mechanical motion into electrical energy
The opposite of a generator is a motor, which turns electrical energy into mechanical motion
One important aspect of Faraday’s law is the negative (-) sign, it is so important it gets its own name. Lenz’s law
Long story short, the magnetic field created by the solenoid will be whatever it needs to be to oppose the external change.
The Electrical Grid: Transformers
The voltage of an electrical outlet in your wall is equal to 120 Volts
To step down the voltage to safe levels we use a transformer
An alternating current (AC) is used to make a current switch directions, which also mean the magnetic field is switching directions, which can induce current in 2 coils/currents at once

The amount of voltage induced in both coils depends on the number of loops in our coil, as indicated by the following equation:

Since these 2 ratio’s are equal, if N2 is bigger, V2 must also be bigger
Circuit Resonance
Many devices we use every day run on DC battery power, but can also run on AC when plugged into a wall
These devices have something called a diode, a device that allows current to flow through it in one direction
The amount of voltage you get from an AC varies, When the loop is perpendicular to the field you get maximum flux, when the loop is parallel to the field you get zero flux
An inductor is a solenoid attached to a circuit on either end, resisting changes in current in the circuit

The frequency at which this circuit oscillates is given by:
C= Capacitance of the capacitor
L= Inductance of the inductor
If you connect a capacitor-inductor circuit to an AC power source that alternates with a frequency matching the circuit itself, then you will get maximum current.
The Current Wars
Though he is often credited with it, Thomas Edison DID NOT invent the lightbulb, he was just the first to mass market it
The first electric light was invented in 1705 by Frank Hauksbee. His “barometric light” was made with mercury and when shaken, it caused the mercury to shed electrons which ionized gas on the inside and created light
The first electric lamp that was widespread was the Arc Lamp, invented by Humphrey Davy around 1802-1809. By the 1860s most households had them but they did not last very long
Incandescent lights, on the other hand, emit light by causing a solid object to heat up enough so that it glows.
In 1882, Edison lit up a part of NYC with these lightbulbs (these he created)
George Westinghouse founded his own electric company and a few years later he lit up a town with AC. This began the feud between Westinghouse and Edison
For a while, there was no clear advantage between the 2 until in 1891, Mikhail Dolivo Dobrovolsky invented a 3 phase generator. It was adopted by Westinghouse and proved to be the winning combination
But in 1904, Alexander Just and Franjo Hanaman created the tungsten light bulb, which became the international standard
Edison was brilliant at marketing and that is the main reason he is still associated with the lightbulb
Nikola Tesla, in recent years, has been portrayed as Edison’s chief rival but in reality Tesla worked for Edison and had nothing but nice things to say about him
Tesla was good at talking himself up and got credit for things he DID NOT actually do
He was very jealous of Edison and eventually started talking to anyone that would listen about communicating with martians and infinite energy
Tesla did invent one thing, the Tesla Coil, which creates high enough voltage to shoot lightning bolts