Gene Expression, Cell Cycle Regulation & Cell Signaling
Central Dogma of Molecular Biology
Gene expression and Protein synthesis
Linear sequence of nucleotides of DNA is transferred to a linear sequence of amino acids of the protein
Two major steps:
- Transcription (nucleus)
- DNA —> mRNA
- mRNA must be processed before it can be transported out of the nucleus for
- Translation (cytoplasm)
- mRNA —> protein

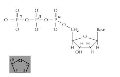
Deoxyribonucleic acid (DNA)

Nucleotide components

Nitrogenous bases

Deoxyribonucleic acid (DNA)



Ribonucleic acid (RNA)

Nucleic Acid Comparison
Major difference between DNA and RNA
Different forms of sugar
The sugar in DNA is 2’-deoxyribose
The sugar in RNA is 2’-hydroxvribose
Nitrogenous bases
DNA contains Thymine
RNA contains Uracil
Strand number
DNA is double stranded
RNA is single stranded
Gene Expression Overview
Receptor activation
Transcription factor activation
Nuclear localization
Chromatin decompaction
TRANSCRIPTION
Coupled initiation and 5’ capping
Coupled transcription and mRNA pro