4.1-4.4
First Derivative
f increase, decrease, constant
f’ > 0 for values of x on (a,b) —> increase
f’ < 0 —> decrease
f’ = 0 —> constant, stationary
f is differentiable on open interval
f’ increasing, f is concave up
f’ decreasing, f is concave down
f’ can tell signs of f’
f’’ = slope of f’


first derivative test
for local min/max using increasing decreasing
find first derivative then critical points of it, plug into original function to get points

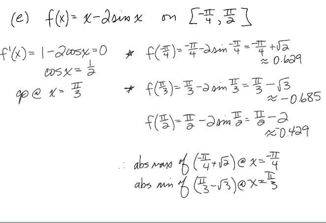
Absolute min/max
find critical points with first derivative, evaluate points at f, get largest and smallest points

graph:
f’(x) > 0, f is increasing
f’(x) < 0, f is decreasing
critical points (where f’ crosses x-axis) sign changes can tell min and max
positive ___ negative = relative max
negative ___ positive = relative min
inflection points: where the concavity changes

a) rel min, b) rel max, c) inflection points, d) graph of f

since the IP 1 is negative, f must be concave down there and for IP 3 concave up
decreasing where f’ is negative, increasing where f’ is positive
Absolute Value
critical points are the zeros and turn points (ex. if domain is (- infinite,0) and (3, infinite), 0 and 3 are critical points
Stationary Points and PND
Second Derivative
f is twice differentiable on open interval
f’ >0, f is concave up there, rel min
f’ <0, f is concave down, rel max
f is continuous on open interval with point x0, if f changes concavity at that point then f has an inflection point at x0 called (x0, f(x0))
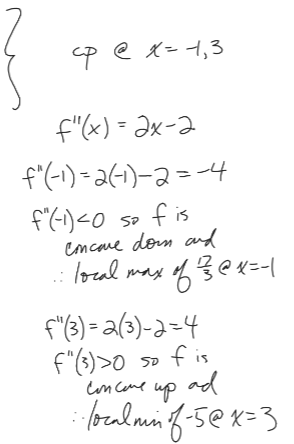
second derivative test
for local min/max using concavity
used cp from first derivative test
find CP of second derivative, see relationship to 0, plug in critical points into second derivative to get point

Inflection points, tech stationary points for f’’’
Deriving
Graphing

hw 60 #25 helps w/visualization. use f’ and f’’ to find

given f’ graph, we see the critical points of it so we know where the min and max are
the turning points of f’ are the inflection points of f’’
if f’ is increasing in that interval, it is concave up and vice versa
concavity will change at VA asympotes, even if point is PND
the large number exponent, the flatter the graph will get at the point of intersection
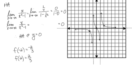
limit tests
Vertical Asmptote, use f : function cannot cross VA; concavity changes anyways

to see which direction the sides go, HA
Use f, set to infinite

Horizontal Asymtote: function can cross HA or SA

Slant Asymptote if no HA
long division
limit analysis with infinite
SA, divide top by the bottom

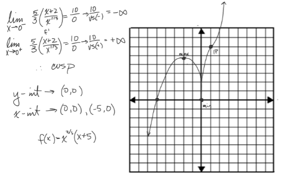
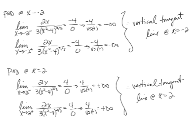
Vertical Tangent Line or Cusp/corner
Vertical Tangent Line when the limits match to infinite; Cusp when they don’t (f’ dne)
Not VA. Vertical Tangent = when line limit goes to inifinte, VA when the function doesn’t intersect at x = a
check for cusp/corner or vertical tangent where f’ is dne (ex. rational function), but if the original function f has a VA/hole there, it’s not necessary (logic)
Use f’



Terms
Relative Min/Max
(x0, f(x0))
open interval
relative extremum at x0
Domains
inc/dec [ ]
concavity ( )
Absolute Min/Max
absolute extrenum
highest and lowest points of function on given interval
if a function is continuous on a closed interval, it is guaranteed both an absolute min and max
procedure: find critical points of f (a,b), evaluate critical points and end points, largest and smallest values = abs max and min
continuous

Infinite Intervals

if the limit analysis of f both goes to positive infinite, meaning both going up, absolute min but no absolute max
if f both negative infinite, absolute max but no min
if neither, neither
Open Intervals

same as infinite
Critical Point
open interval
f has a critical point at x = x0 if there is a relative extremum there
relative extenum: if it is an extrenum of open interval containing point c
relative/local maximum at point greater than or equal to all nearby points
relative minimum at point less than or equal to all nearby values
absolute extrenum: if largest/smallest in entire domain [ ]
absolute min/max
relative min: of 0 at x =3….

absolute value turning points are critical points too (PND)
imaginary points don’t count for analysis
Stationary Point
f’(x) = 0
PND
f’ = DNE
auto no inflection pts or stationary points if no critical points (outside domain, ex. rational functions). concavity and direction may change anyways. concavity def


Examples






Absolute Value
break down f into absolute value
ex. f(x) = 1 + |9-x²|. do sign analysis for where positive and negative (positive includes more than negative). f(x) >= 0 at (-infite, -3] +U[3, infinite). f(x) <= infinite at (-3,3)
then find the derivatives of the broken down things f"(x) { 1 - |9-x²| for the greater than 0 section, 1 + |9-x²| in the less than section (flipping sign)
-(abs value) for neg or other
critical points and end points are usable.
critical points include the ‘turning point’
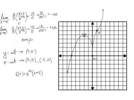
Complete Analyze - rational
Find derivative, analyze critical points. Denimator VA (only if og function is rational too)
Find y-int and x-int with f
Use f’’ to analyze concavity
Use limit analysis to infinite to find the HA or SA or end behavior
Plug in critical points to f to graph
Competely Analyze
Find f’ to find critical points, PND and stationary
Plug in critical points to find local min/max
Second derivative for concavity and inflection points
Limit analysis using f’ to find cusp or vertical tangent line at a PND point
Problems
hw
review:
mystery value, just solve normally and plug in when helpful

ln(1) = 0, so for ln(2/x) where x =2 is a critical point
if 2/x< 1 (or if inside<1); ln(2/x) will be negative
if 2/x> , ln(2/x) will be positive

rational PNDs are auto no stationary/iP
odd roots can have negative insides, but even roots cannot (imaginary)
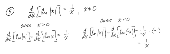
natural Log Derivative



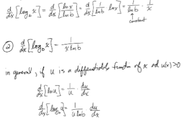
Log Derivative

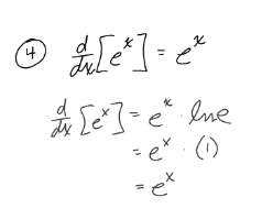
Exponential Derivative



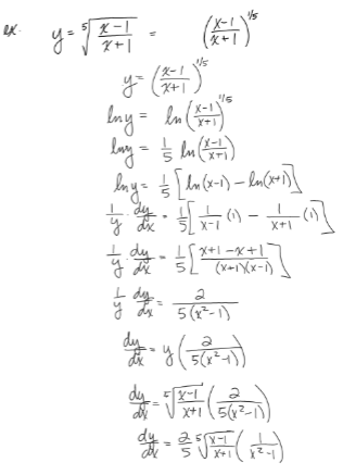
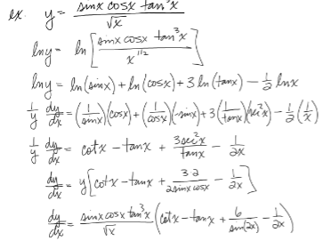
Logarithmic Differentiation
Take natural log of both sides, then use the properties of logs to rewrite the expression before differentiating


powers add together when bases are multiplied (ex. x²(x³) = x^5 and e^x(e^x) = e²x)
e^x = y then x = ln(y)
applicable for bases and logs and exponential stuff
powers for logs
ln(1/2) = -ln(2)
Use Chain Rule on Absolute Value functions
Common Trig Identities and laws

