Home
10/11
10/11
Toán
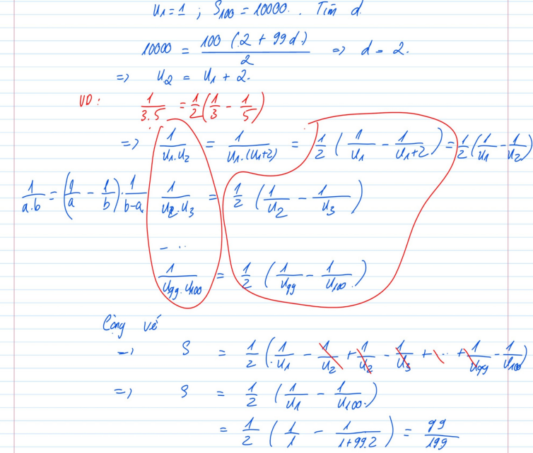
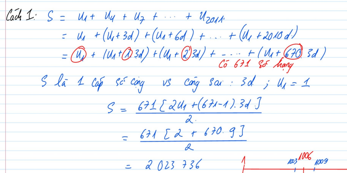
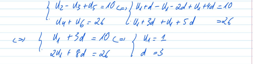
câu 9
câu 16
SInh
Câu 11
câu 12
Câu 17