Area Between Curves
3 questions to ask
Where do we start? → upper bound
Where do we end? → lower bound
What function is on top? Does this change?
Example
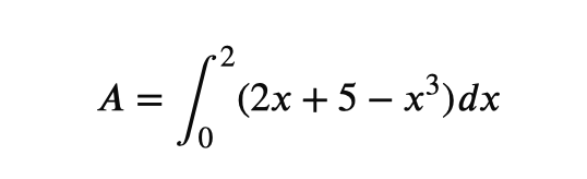
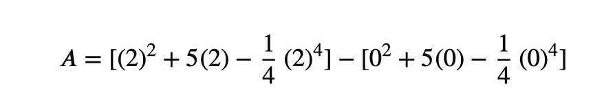
Find the area of the region bounded by y = 2x + 5 and y = x3 between x = 0 and x = 2
Compare the functions within the interval [0, 2] to determine which is "on top”
at x = 0: y = 2(0) + 5 = 5 and y = 03 = 0
at x = 2: y = 2(2) + 5 = 9 and y = 23 = 8b
Since y = 2x + 5 is greater than y = x3 at both boundaries and they do not intersect between 0 and 2, the linear function is the upper function
The area A between two curves is found by integrating the difference (Upper - Lower)

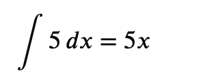
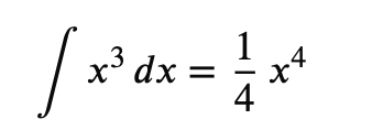
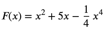
Find the antiderivative




Evaluate the definite integral and apply the Fundamental Theorem of Calculus by plugging in the upper limit (2) and subtracting the lower limit (2)


